تابع کانتور:

در ادامه ی مطلبی که در مورد مجموعه کانتور نوشتم در اینجا به معرفی تابع کانتور می پردازیم. لطفا قبل از هر چیز مطلب مربوط به مجموعه کانتور رو مطالعه بفرمایید.
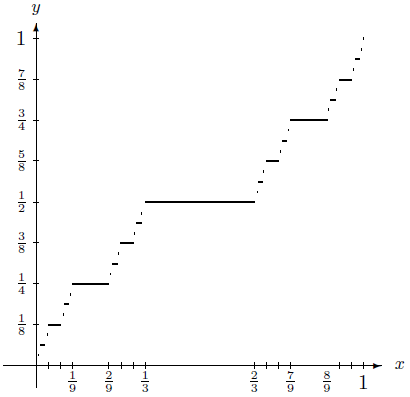
به طور خلاصه در ساخت مجموعه کانتور بازه $[0, 1]$ را در نظر می گرفتیم و بازه $G_1=(\frac 13, \frac 23)$ را کنار می گذاشتیم. در مرحله دوم از بازه های باقیمانده نیز به ترتیب بازه های یک سومی میانی $G_2=(\frac 19, \frac 29)\cup (\frac 79, \frac 89)$ را برمیداریم. و به همین ترتیب در مرحله $n$ ام تعداد $2^{n-1}$ بازه را که اجتماع آنها را با $G_n$ نمایش می دهیم برمی داریم.
ساخت تابع کانتور:
تابع کانتور $f:[0, 1]\to [0, 1]$ به صورت زیر تعریف می شود. برای هر $x\in G_1=(\frac 13, \frac 23)$ تعریف می کنیم $f(x)=\frac 12$ ؛ برای هر $x\in G_2=(\frac 19, \frac 29)\cup (\frac 79, \frac 89)$ اگر $x\in (\frac 19, \frac 29)$ در اینصورت قرار می دهیم $f(x)=\frac 14$ و اگر $x\in (\frac 79, \frac 89)$ تعریف می کنیم $f(x)=\frac 34$ . و به همین ترتیب روی $2^{n-1}$ بازه ای که در مرحله $n$ ام برمی داریم به ترتیب مقادیر
$$\frac 1{2^n}, \frac 3{2^n}, \frac 5{2^n},\cdots, \frac{2^n-1}{2^n}$$
را به ترتیب صعودی نسبت می دهیم. به عنوان مثال برای
$$G_3=(\frac 1{27},\frac 2{27})\cup (\frac 7{27}, \frac 8{27})\cup (\frac {19}{27}, \frac{20}{27})\cup (\frac {25}{27}, \frac{26}{27})$$
به ترتیب صعودی مقادیر
$$\frac 1{2^3},\frac 3{2^3}, \frac 5{2^3},\frac 7{2^3}$$
نسبت داده می شود.
پس به این ترتیب تابع $f$ روی مجموعه $[0, 1]\setminus K$ (که $K$ مجموعه کانتور است) تعریف کرده ایم. حال تعریف را به کل بازه ی $[0, 1]$ با تعریف کردن $f(0)=0$ و اگر $x\in K, x\neq 0$
$$ f(x)=\sup \lbrace f(t):t\in G=[0, 1]\setminus K, \ t< x \rbrace $$
توسیع می دهیم.

ویژگی های تابع کانتور:
از آنجا که $f(G)=\lbrace\frac k{2^n}: n\geq 0, k\leq 2^n\rbrace$ لذا $\overline{f(G)}=[0, 1]$ . (چرا؟)
چون $f$ صعودی است بنابراین فقط می تواند ناپیوستگی جهشی داشته باشد. فرض کنیم در نقطه $c$ ناپیوسته باشد در اینصورت این ناپیوستگی جهشی است در اینصورت طبق نکته قبلی عدد گویای $\frac{k}{2^n}$ به ازای $k$ و $n$ ی موجودند که در برد $f$ قرار ندارند. اما بنابر ساخت تابع کانتور تمام مقادیر به شکل $\frac k{2^n}$ را اختیار می کند که این هم ایجاب می کند تابع $f$ پیوسته باشد.
اگر $y\in [0, 1]$ بنابر قضیه مقدار میانی حداقل برای $x\in [0, 1]$ داریم $f(x)=y$ . اگر $x\in K$ باشد که مساله تمام است. اما اگر $x\in G$ در اینصورت برای $n$ ی داریم $x\in G_n$ . اگر $L=(a, b)$ آن مولفه ای از $G_n$ باشد که $x\in L$ در اینصورت چون $f$ روی $L$ ثابت است و $f(x)=y$ پس روی $L$ داریم $f=y$ در اینصورت با توجه به صعودی بودن $f$ روی $G$ داریم $f(b)=\sup\lbrace f(t):t\in G, t< b\rbrace=y$ و می دانیم که $b\in K$ .
توجه کنید که از این هم نتیجه می شود $K$ ناشماراست.
تابع کانتور به عنوان حد دنباله ای از توابع:
تابع $f_1$ را در بازه $G_1=(\frac 13, \frac 23)$ (که در مرحله اول از ساخت مجموعه کانتور از بازه $[0, 1]$ حذف می کردیم ) برابر $\frac 12$ و در دو بازه دیگر به صورت خطی تعریف می کنیم.

تابع $f_2$ را در $(\frac 19,\frac 29)$ برابر <$\frac 14$ در بازه $(\frac 13, \frac 23)$ برابر $\frac 12$ و در $(\frac 79, \frac 89)$ برابر $\frac 34$ تعریف می کرده و در سایر بازه ها به صورت خطی در نظر می گیریم.

اگر همین روند را ادامه دهیم دنباله توابع $f_1, f_2, f_3, ...$ می سازیم که در شرایط زیر صدق می کنند:
- هر $f_k$ روی $[0, 1]$ صعودی است.
- برای هر $x\in [0, 1]$ داریم $|f_{k+1}(x)-f_k(x)|< \frac 1{2^k}$. این دقیقا روند ساخت این توابع به ما می گوید. برای درک بهتر این مطلب مثلا $f_1,f_2$ را در کنار هم ببینید:

- دنباله $f_k$ به طور یکنواخت روی $[0, 1]$ همگراست. چرا که بنابر قسمت دو $\sum_1^\infty f_{k+1}-f_k$ به طور یکنواخت همگراست.
اگر تابع همگرایی را با$f(x)=\lim_{k\to\infty}f_k(x)$ نمایش دهیم در اینصورت $f$ را تابع کانتور می گوییم.
خواص دیگر تابع کانتور:
چون $f_k$ ها همگی پیوسته و روی بازه فشرده $[0, 1]$ به طور یکنواخت به $f$ همگرا هستند لذا $f$ هم پیوسته است.
تابع $f$ صعودی است. زیرا اگر $x< y$ آنگاه از صعوی بودن $f_k$ ها داریم $f_k(x)\leq f_k(y)$ با حدگرفتن از طرفین داریم $f(x)\leq f(y)$
تابع کانتور تقریبا همه جا در $[0, 1]$ مشتق پذیر است و $f'(x)=0\ a.e.$
در واقع $f$ روی مجموعه $G=[0, 1]\setminus K$ ثابت است و لذا مشتق پذیر است و مشتق آن برابر صفر است. و چون مجموعه کانتور از اندازه صفر است پس تقریبا همه جا مشتق پذیر است و مشتقش صفر است.
رویکردی دیگر به تابع کانتور:
علاوه بر دو تعریف فوق می توانیم تعریف دیگری از تابع کانتور بر اساس نمایش اعشاری ارایه داد.
تابع کانتور $f:[0, 1]\to [0, 1]$ به صورت زیر تعریف می شود. فرض کنید $\in [0, 1]x$ در اینصورت $f(x)$ را به ترتیب زیر به دست می آوریم:
- نمایش اعشاری $x$ در مبنای $3$ را بنویسید.
- اگر در نمایش اعشاری $x$ در مبنای سه رقم $1$ وجود داشت در اینصورت تمام ارقام بعد از اولین $1$ را با صفر جایگزین کنید.
- تمام ارقام $2$ را با $1$ جایگزین کنید.
- نمایش اعشاری حاصل را به عنوان نمایش دو دویی(در مبنای دو) بیان کنید.
به عنوان مثال:
عدد $\frac 14$ در مبنای سه به صورت $0.02020202...$ است که چون هیچ رقم آن $1$ نیست پس فقط تمام ارقام $2$ را با $1$ جایگزین می کنیم داریم $0.01010101...$ که در مبنای دو برابر است با $\frac 1{2^2}+\frac 1{2^4}+...=\frac 13$ یعنی $f(\frac 14)=\frac 13$
عدد $\frac 15$ در مبنای $3$ برابر است با $0.012101210121...$ بنابراین تمام ارقام بعد از $1$ را صفر قرار دهیم داریم $0.01$ که در مبنای دو برابر است با $f(\frac 15)=\frac 14$
این تعریف با تعریف اولی ما از تابع کانتور کاملا یکسان هستند.(چرا؟!)
ممکن است در بعضی کتابها یا مقالات ببینید که اگر $x=\sum_1^\infty \frac{a_n}{3^n},a_n=0, 1, 2$ در اینصورت تابع کانتور را به صورت $$f(x)=\frac 1{2^N}+\sum_1^{N-1}\frac{\frac{a_n}2}{2^n}$$ تعریف کرده اند که $N$ کوچکترین عدد طبیعی است که $a_N=1$ . و واضح است که این تعریف دقیقا با توجه به همین تعریف اخیر از تابع کانتور است. و توجه کنید چنانچه $x\in K$ در اینصورت در بسط سه سه ای آن رقم یک وجود ندارد و لذا $N$ را برابر بی نهایت قرار می دهند و داریم $f(x)=\sum_1^\infty \frac{\frac {a_n}2}{2^n}$ .
با استفاده از این تعریف می توانید ثابت کنید:
- $f(\frac x3)=\frac{f(x)}2$
- $f(1-x)=1-f(x)$
منابع:
Elementary Real Analysis, Thomson Bruckner
Real Analysis for Graduated Students: measure and integration theory, Richard F.Bass
Measure and Integral: And Introduction to Real Analysis, Richard L. Wheeden & Antoni zygmund
Measure Theory, Donald L. Cohn
http://mathworld.wolfram.com/CantorFunction.html
https://en.wikipedia.org/wiki/Cantor_function
پ.ن1: لطفا اگر اشکالی در مطالب بالا داشتید حتما در قسمت دیدگاه تذکر بدید.
پ.ن2: لطفا اگر سوالی داشتید در سایت سوال رو مطرح کنید.
پ.ن3: منتظر نظرات ارزشمندتون هستم.