سلام
هنگام بررسی دنباله فیبوناتچی به رابطه ای جالب توجه و شاید هم جدید برای محاسبه جمله n ام آن رسیدم. نمی دانم فرمول نوشته شده قبلا توسط فردی دیگر محاسبه شده است یا نه ولی آن را اینجا برای شما به اشتراک می گذارم.
دنباله فیبوناتچی به شکل زیر است:
1 , 1 , 2 , 3 , 5 , 8 , 13 , ...
اگر $f_n$ جمله n ام این دنباله باشد و $ φ=\frac{1+\sqrt{5}}{2} $ آنگاه خواهیم داشت:
$ f_{n}=⌈\frac{φ^{2n-1}-1}{φ^{n-3}(φ^{4}-1)}⌉ $
در معادله بالا ⌈ ⌉ تابع سقف است.
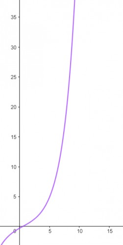
یکی از مزیت های معادله بالا این است که میتوان شکلی از روند رشد دنباله فیبوناتچی حتی در قسمت های اعشاری یافت. به شکل زیر دقت کنید:

روند رشد تابع فیبوناتچی تقریبا به شکل بالاست.
آیا میتوانید فرمول ذکر شده را ثابت کنید؟