به محفل ریاضی ایرانیان خوش آمدید! لطفا برای استفاده از تمامی امکانات عضو شوید
+2 امتیاز
1,435 بازدید
در دبیرستان توسط MPG (11 امتیاز)
ویرایش شده توسط fardina

اگر $f$ تابعی باشد که در رابطه $f (x)+xf(-x)=\frac 1x$ صدق کند.ضابطه$f(x)$ را بیابید.

مرجع: ریاضی دوم دبیرستان
توسط fardina (17,622 امتیاز)
خوش امدید به محفل ریاضی. لطفا راهنمای تایپ ریاضی رو بخونید. و عنوان مناسب بنویسید. من این دفعه براتون ویرایش کردم.

1 پاسخ

+3 امتیاز
توسط Under sky (595 امتیاز)
ویرایش شده توسط fardina

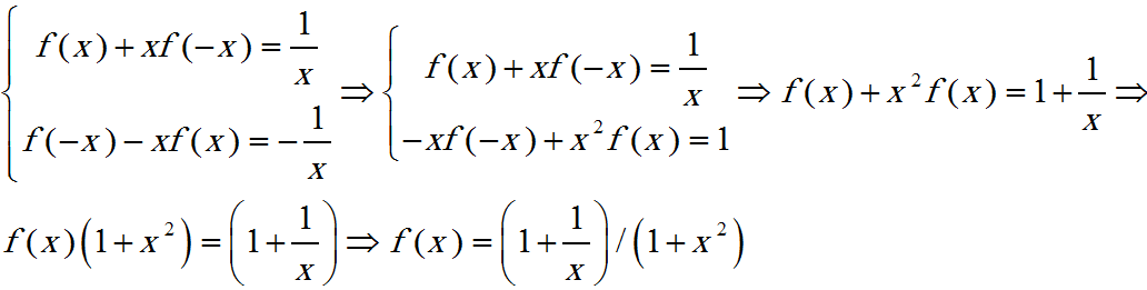
enter image description here


$$\begin{cases}f(x)+xf(-x)=\frac 1x\\ f(-x)-xf(x)=-\frac 1x \end{cases}\\ \Rightarrow \begin{cases}f(x)+xf(-x)=\frac 1x\\ -xf(x)+x^2f(x)=1\end{cases}\\ \Rightarrow f(x)+x^2f(x)=1+\frac 1x\\ \Rightarrow f(x)(1+x^2)=\left(1+\frac 1x\right)\\ \Rightarrow f(x)=\frac{1+\frac 1x}{1+x^2}$$
برای ترجمه ی یک جمله از انگلیسی به فرانسوی دو چیز ضروری است. اول، باید جمله ی انگلیسی را تماما بفهمیم. دوم، باید با اصطلاحات ویژه ای که در زبان فرانسوی هستند آشنا باشیم. این وضعیت خیلی شبیه هنگامی است که سعی داریم شرط را که با کلمات بیان شده است با نمادهای ریاضی بیان کنیم. اول، باید آن را تمام درک کنیم. دوم، باید با اصطلاحات ریاضی ریاضی آشنا باشیم.
...