به محفل ریاضی ایرانیان خوش آمدید! لطفا برای استفاده از تمامی امکانات عضو شوید
–1 امتیاز
3,072 بازدید
در دبیرستان و دانشگاه توسط parviz27 (-5 امتیاز)

سلام ازتون می خوام به این سوال جواب بدید و اگه بشه یک توضیح مختصرم بدید و بعد اگه بشه بگید مربوط به کدام بخش از ریاضی هستش با تشکر

توسط good4us (7,356 امتیاز)
+1
این یک معادله توانی است که سال دوم دبیرستان مطرح است
توسط 14510545 (69 امتیاز)
ویرایش شده توسط fardina
+1
این سوال مربوط به مبحث توان (نما) در ریاضیات است منظور توان اعداد است و به کمک قوانین نماها یا به طور دقیق تر قوانین مربوط به اعداد توان دار حل می شود.
توسط AmirHosein (19,733 امتیاز)
برچسب و تقسیم‌بندی پرسش را تصحیح کنید و پرسش را تایپ کنید. ندانستن عیب نیست ولی پس از آگاهی یافتن کاری نکردن با ندانستن فرق دارد. در دیدگاه‌ها اشاره کرده‌اند که به برچسب آنالیز عددی ربط ندارد و پرسش دبیرستانی است نه دانشگاهی.
توسط parviz27 (-5 امتیاز)
–1
سلام دوست خوبم اگه شما به فکر تخریب بنده هستید اینو بدونید من چیزخاصی از ریاضی نمی دونم و اینگونه سوالات رو هم می پرسم که برای امتحان درس ریاضی پیش دانشگاهی آماده بشم
توسط fardina (17,622 امتیاز)
+1
@parviz27
لطفا به راهنمایی های مدیران توجه کنید. عزیزم ایشون ازتون خواستن که پرسش رو ویرایش کنید. چه تخریبی؟
مگر چقدر سخته ویرایش بزنید و دسته بندی و برچسب رو عوض کنید. از نظر مدیران شما نظم سایت رو با انتخاب اشتباه دسته بندی و برچسب به هم میزنید.
در قودنین سایت که شما موقع ثبت نام آن را پذیرفتید آمده:
"ما از مدیران سایت(تحت عنوان های متخصص، ویرایشگر، ناظم و مدیریت) انتظار داریم که صبور بوده و با توجه به قوانین سایت از امتیازات مدیریتی خود استفاده کنند و با کمال احترام کاربران دیگر را راهنمایی کنند. و همچنین انتظار داریم که کاربران هم به راهنمایی های مدیران توجه کرده و از قوانین سایت خارج نشوند."

2 پاسخ

+1 امتیاز
توسط saiid. (109 امتیاز)

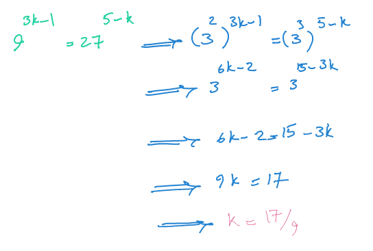
$$9^{3k-1}=27^{5-k} $$ $$ 9=3^2 \ , 27=3^3$$ $$3^{6k-2}=3^{15-3k} $$ $$6k-2=15-3k \Longrightarrow k=\frac{17}{9} $$

توسط parviz27 (-5 امتیاز)
–1
سلام میشه قسمت آخر رو توضیح بدید
0 امتیاز
توسط 14510545 (69 امتیاز)

enter image description here

برای ترجمه ی یک جمله از انگلیسی به فرانسوی دو چیز ضروری است. اول، باید جمله ی انگلیسی را تماما بفهمیم. دوم، باید با اصطلاحات ویژه ای که در زبان فرانسوی هستند آشنا باشیم. این وضعیت خیلی شبیه هنگامی است که سعی داریم شرط را که با کلمات بیان شده است با نمادهای ریاضی بیان کنیم. اول، باید آن را تمام درک کنیم. دوم، باید با اصطلاحات ریاضی ریاضی آشنا باشیم.
...