به محفل ریاضی ایرانیان خوش آمدید! لطفا برای استفاده از تمامی امکانات عضو شوید
0 امتیاز
7,681 بازدید
در دبیرستان و دانشگاه توسط حسینی (2 امتیاز)

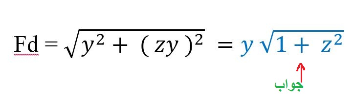
با سلام . میخواستم بدونم جواب آخر این سوال چطوری بدست امده عکسشو میفرستم ممنون میشم جوابمو بدید تشکر

enter image description here

1 پاسخ

0 امتیاز
توسط fardina (17,622 امتیاز)

$(yz)^2=y^2z^2$ لذا $y^2+y^2z^2=y^2(1+z^2)$ و $y^2$ از رادیکال بیرون می آید لذا عبارت داده شده برابر $|y|\sqrt{1+z^2}$ خواهد شد. چنانچه $y$ مثبت باشد آنگاه $|y|=y$ و لذا برابری که گفتید در صورتی که $y$ مثبت باشد حاصل می شود.

توسط حسینی (2 امتیاز)
+1
واقعا ممنون عالی بود فکر نمیکردم اینقدر زود جواب بدین واقعا سایتتون عالیه
تشکر فراوان بابت پاسختون
برای ترجمه ی یک جمله از انگلیسی به فرانسوی دو چیز ضروری است. اول، باید جمله ی انگلیسی را تماما بفهمیم. دوم، باید با اصطلاحات ویژه ای که در زبان فرانسوی هستند آشنا باشیم. این وضعیت خیلی شبیه هنگامی است که سعی داریم شرط را که با کلمات بیان شده است با نمادهای ریاضی بیان کنیم. اول، باید آن را تمام درک کنیم. دوم، باید با اصطلاحات ریاضی ریاضی آشنا باشیم.
...