به محفل ریاضی ایرانیان خوش آمدید! لطفا برای استفاده از تمامی امکانات عضو شوید
0 امتیاز
592 بازدید
در دانشگاه توسط M.SH (286 امتیاز)

$\sum _1 ^ ∞ \{1/((n(n+1)(n+2)))} $

  1. سلام . من این رو اول مثل سری های تلسکوپی حل کردم و بعد از این که ۳ تا کسر کشیدم و به دست آوردم . دیدم انگار سری تلسکوپی نیست چون که این اولا : این جا ۳تا کسر داریم و اگه به جای هر کدوم از n ها اگر n+1 بزارم کسر های دیگه به وجود نمیاد پس تلسکوپی نیست. به نظرم با آزمون مقایسه شاید حل بشه ولی مطمئن نیستم. حالا این جا سری تلسکوپیه یا نه؟ و این که اگه تلسکوپی هست چه طور حل کنم من تا حالا با ۳ تا کسر سری تلسکوپی حل نکردم . نمی فهمم . میشه برام توضیح بدین چه طور حل کنم و بفهمم که آیا این سری همگراست یا واگرا؟؟؟؟؟

1 پاسخ

0 امتیاز
توسط حسن کفاش امیری (3,252 امتیاز)
انتخاب شده توسط M.SH
 
بهترین پاسخ

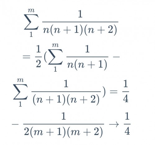
از تساوی زیر برای تلسکوپی استفاده می کنیم رابطه زیر قابل تعمیم است

$$ \frac{\color{red} 2}{n(n+1)(n+\color{red} 2)}= \frac{1}{n(n+1)} - \frac{1}{(n+1)(n+\color{red} 2)} $$

پس خواهیم داشت

توضیحات تصویر

توسط M.SH (286 امتیاز)
سری که من نوشتم صورتش یک هست نه ۲.
   و این که این جا انگار ۳تا پرانتز در مخرج داریم من خودم حل کردم ۳ تا کسر کشیدم . ولی این جا شما ۲ تا کسر کشیدید این فرمولشه که ۲ تا کسر کشیدید؟؟؟

حالا این جا همگرا به 1/4 شده درسته؟
یه سوال دیگه هم داشتم:
سری هم هست که کران پایینش از منفی شروع شده باشه؟؟؟؟
ممنون میشم برام توضیح بدین.
برای ترجمه ی یک جمله از انگلیسی به فرانسوی دو چیز ضروری است. اول، باید جمله ی انگلیسی را تماما بفهمیم. دوم، باید با اصطلاحات ویژه ای که در زبان فرانسوی هستند آشنا باشیم. این وضعیت خیلی شبیه هنگامی است که سعی داریم شرط را که با کلمات بیان شده است با نمادهای ریاضی بیان کنیم. اول، باید آن را تمام درک کنیم. دوم، باید با اصطلاحات ریاضی ریاضی آشنا باشیم.
...