به محفل ریاضی ایرانیان خوش آمدید! لطفا برای استفاده از تمامی امکانات عضو شوید
+1 امتیاز
183 بازدید
در دانشگاه توسط mansour (769 امتیاز)

نشان دهید:

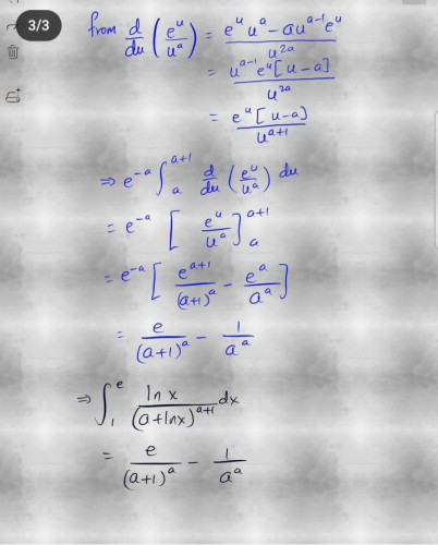
$$ \int _1^e \frac{lnx}{ (a+lnx)^{a+1} }dx= \frac{e}{ (a+1)^{a} } - \frac{1}{ a^{a} } $$ $$\leadsto u=a+lnx$$

1 پاسخ

+1 امتیاز
توسط قاسم شبرنگ (4,161 امتیاز)
انتخاب شده توسط mansour
 
بهترین پاسخ

$I(a):= \int _1^e \frac{Lnx}{(a+Lnx)^{a+1}} dx$

اول فرض کنید $a \neq -1$:

$u:=a+Lnx \Rightarrow du= \frac{dx}{x} \Rightarrow dx=xdu,x=e^{u-a} ,u(1)=a,u(e)=a+1$

$ \Rightarrow I= \int _a^{a+1} \frac{(u-a)(e^{u-a})}{u^{a+1}}du= \frac{1}{e^a} [\int _a^{a+1} \frac{e^u}{u^a}du-a\int _a^{a+1} \frac{e^u}{u^{a+1}}du]$

$= \frac{1}{e^a}[ \int _a^{a+1}u^{-a}d(e^u)-a \int _a^{a+1}u^{-a-1}e^udu] $

$= \frac{1}{e^a} [u^{-a}e^u|_a^{a+1}+a\int _a^{a+1}u^{-a-1}e^udu-a\int _a^{a+1}u^{-a-1}e^udu] = \frac{1}{e^a} [u^{-a}e^u|_a^{a+1}]$

$= \frac{e}{(a+1)^a} - \frac{1}{a^a} $

اگر $a=-1$ داریم:

$I(-1)= \int _1^eLnxdx=[xLnx-x]_1^e=eLne-e-1.Ln1+1=1$

$ \Box $

توسط mansour (769 امتیاز)
توسط mansour (769 امتیاز)
برای ترجمه ی یک جمله از انگلیسی به فرانسوی دو چیز ضروری است. اول، باید جمله ی انگلیسی را تماما بفهمیم. دوم، باید با اصطلاحات ویژه ای که در زبان فرانسوی هستند آشنا باشیم. این وضعیت خیلی شبیه هنگامی است که سعی داریم شرط را که با کلمات بیان شده است با نمادهای ریاضی بیان کنیم. اول، باید آن را تمام درک کنیم. دوم، باید با اصطلاحات ریاضی ریاضی آشنا باشیم.
...