به محفل ریاضی ایرانیان خوش آمدید! لطفا برای استفاده از تمامی امکانات عضو شوید
+2 امتیاز
1,324 بازدید
در دبیرستان و دانشگاه توسط Reza.S (862 امتیاز)

اگر $sinx=a$ باشد

حاصل $sin(nx)$ را بیابید

$(n \in N)$
توسط OXIDE (681 امتیاز)
ویرایش شده توسط erfanm
+1
در حالت کلی فرمولی وجود ندارد.
ولی برای <math>$sin3x,sin2x$</math> از آنجایی که سرراست هستند فرمولی وجود دارد.
توسط fardina (17,622 امتیاز)
+1
به صورت دقیق نمیدونم ولی میتونیم رابطه ی بازگشتی بیان کنیم.
میتونید از فرمول اویلر $(\cos x+i\sin x)^n=\cos nx+i\sin nx$ برای این کار استفاده کنید.

1 پاسخ

+3 امتیاز
توسط saiid. (109 امتیاز)
انتخاب شده توسط Reza.S
 
بهترین پاسخ

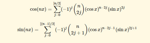
enter image description here

این رابطه وجود داره اما نمیدونم چجوری میشه اثباتش کرد

توسط
اثباتش به سادگی با استفاده از فرمول دموآور و بسط دوجمله ای و جداکردن بخشحقیقی و موهومی حاصل میشه.
برای ترجمه ی یک جمله از انگلیسی به فرانسوی دو چیز ضروری است. اول، باید جمله ی انگلیسی را تماما بفهمیم. دوم، باید با اصطلاحات ویژه ای که در زبان فرانسوی هستند آشنا باشیم. این وضعیت خیلی شبیه هنگامی است که سعی داریم شرط را که با کلمات بیان شده است با نمادهای ریاضی بیان کنیم. اول، باید آن را تمام درک کنیم. دوم، باید با اصطلاحات ریاضی ریاضی آشنا باشیم.
...