به محفل ریاضی ایرانیان خوش آمدید! لطفا برای استفاده از تمامی امکانات عضو شوید
0 امتیاز
195 بازدید
در دانشگاه توسط mansour (769 امتیاز)

نشان دهید:

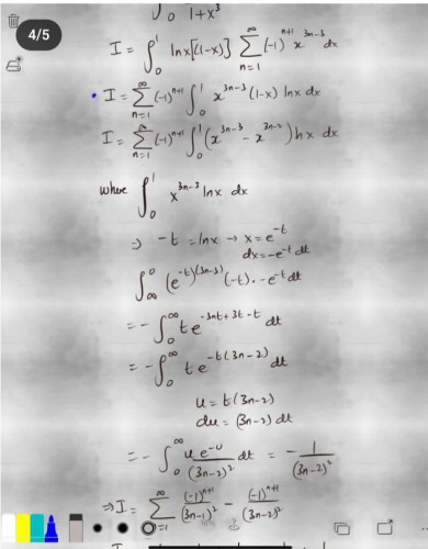
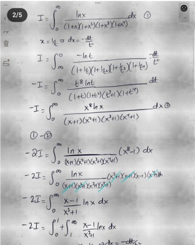
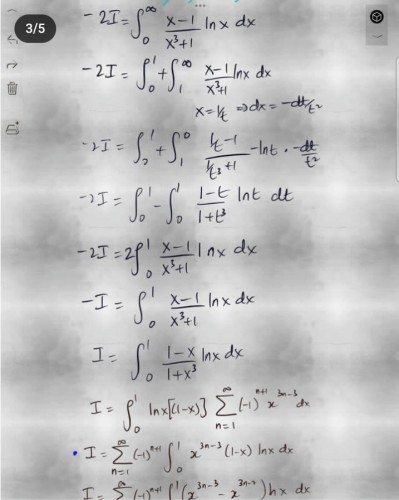
$$ \int _0^ \infty \frac{lnxdx}{ (1+x)(1+ x^{2})(1+ x^{3})(1+ x^{4}) } = \frac{-2 \pi ^{2} }{27} $$

1 پاسخ

0 امتیاز
توسط قاسم شبرنگ (4,161 امتیاز)
ویرایش شده توسط قاسم شبرنگ

$A:= \int_0^ \infty \frac{ln(x)}{(1+x)(1+x^2)(1+x^3)(1+x^4)} dx$

با تغییر متغیر $u= \frac{1}{x} $ داریم:

$x= \frac{1}{u} \Rightarrow dx= \frac{-1}{u^2} du$

$ \Rightarrow A= \int_0^ \infty \frac{-u^8ln(u)}{(1+u)(1+u^2)(1+u^3)(1+u^4)} du$

$= \int_0^ \infty \frac{(1-u^8)ln(u)}{(1+u)(1+u^2)(1+u^3)(1+u^4)} du- \int_0^ \infty \frac{ln(u)}{(1+u)(1+u^2)(1+u^3)(1+u^4)} du$

$= \int _0^ \infty \frac{ln(u)}{u^2-u+1} -A$

$ \Rightarrow 2A= \int _0^ \infty \frac{ln(u)}{u^2-u+1}$

حالا تغییر متغیر $v= \frac{1}{u} $ را بکار ببرید:

$ \Rightarrow u= \frac{1}{v} \Rightarrow dv= \frac{-1}{u^2} du$

$ \Rightarrow 2A= \int _0^ \infty \frac{ln(u)}{u^2-u+1}=- \int _0^ \infty \frac{ln(v)}{v^2-v+1}=-2A$

$ \Rightarrow 4A=0 \Rightarrow A=0$

$ \Box $

توسط mansour (769 امتیاز)
توسط mansour (769 امتیاز)
توسط mansour (769 امتیاز)
توسط mansour (769 امتیاز)
برای ترجمه ی یک جمله از انگلیسی به فرانسوی دو چیز ضروری است. اول، باید جمله ی انگلیسی را تماما بفهمیم. دوم، باید با اصطلاحات ویژه ای که در زبان فرانسوی هستند آشنا باشیم. این وضعیت خیلی شبیه هنگامی است که سعی داریم شرط را که با کلمات بیان شده است با نمادهای ریاضی بیان کنیم. اول، باید آن را تمام درک کنیم. دوم، باید با اصطلاحات ریاضی ریاضی آشنا باشیم.
...