به محفل ریاضی ایرانیان خوش آمدید! لطفا برای استفاده از تمامی امکانات عضو شوید
+1 امتیاز
236 بازدید
در دانشگاه توسط mansour (769 امتیاز)

نشان دهید:

$$ I(a)= \int_ {-a} ^aArccos( \frac{x}{a} )ln(x+a)dx= \pi aln( \frac{a}{2}) \leadsto u=x+a$$

1 پاسخ

0 امتیاز
توسط قاسم شبرنگ (4,161 امتیاز)
ویرایش شده توسط قاسم شبرنگ

ایده ای برای حل:

فرض کنید $a>0$ و با تغییر متغیر $u= \frac{x}{a} $ داریم:

$x=au \Rightarrow dx=adu$

$I(a)= a\int _{-1}^1cos^{-1}(u).ln(a(u+1))du$

$=aln(a)\int _{-1}^1cos^{-1}(u)+a\int _{-1}^1cos^{-1}(u).ln(u+1)ddu$

در انتگرال اول از جزء به جزء استفاده کنید و در انتگرال دوم سری مکلورن $ln(1+u)$ را بکار ببرید و باز هم از جزء به جزء و جابجایی سیگما و انتگرال استفاده کنید.

$ \Box $

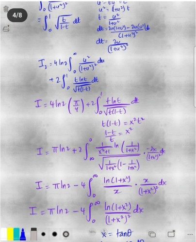
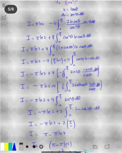
توسط mansour (769 امتیاز)
توسط mansour (769 امتیاز)
توسط mansour (769 امتیاز)
توسط mansour (769 امتیاز)
توسط mansour (769 امتیاز)
برای ترجمه ی یک جمله از انگلیسی به فرانسوی دو چیز ضروری است. اول، باید جمله ی انگلیسی را تماما بفهمیم. دوم، باید با اصطلاحات ویژه ای که در زبان فرانسوی هستند آشنا باشیم. این وضعیت خیلی شبیه هنگامی است که سعی داریم شرط را که با کلمات بیان شده است با نمادهای ریاضی بیان کنیم. اول، باید آن را تمام درک کنیم. دوم، باید با اصطلاحات ریاضی ریاضی آشنا باشیم.
...