به محفل ریاضی ایرانیان خوش آمدید! لطفا برای استفاده از تمامی امکانات عضو شوید
+1 امتیاز
227 بازدید
در دانشگاه توسط mansour (771 امتیاز)

نشان دهید:

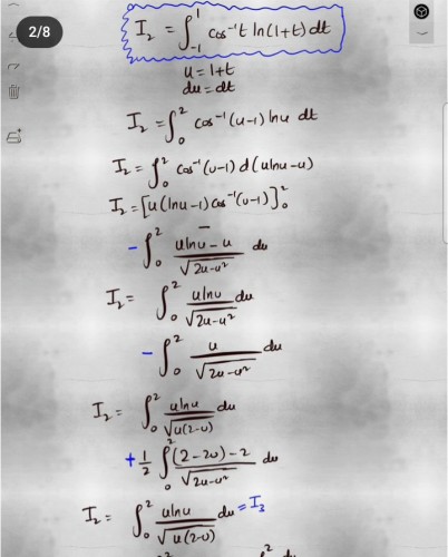
$$ I(a)= \int_ {-a} ^aArccos( \frac{x}{a} )ln(x+a)dx= \pi aln( \frac{a}{2}) \leadsto u=x+a$$

1 پاسخ

0 امتیاز
توسط قاسم شبرنگ (4,151 امتیاز)
ویرایش شده توسط قاسم شبرنگ

ایده ای برای حل:

فرض کنید $a>0$ و با تغییر متغیر $u= \frac{x}{a} $ داریم:

$x=au \Rightarrow dx=adu$

$I(a)= a\int _{-1}^1cos^{-1}(u).ln(a(u+1))du$

$=aln(a)\int _{-1}^1cos^{-1}(u)+a\int _{-1}^1cos^{-1}(u).ln(u+1)ddu$

در انتگرال اول از جزء به جزء استفاده کنید و در انتگرال دوم سری مکلورن $ln(1+u)$ را بکار ببرید و باز هم از جزء به جزء و جابجایی سیگما و انتگرال استفاده کنید.

$ \Box $

توسط mansour (771 امتیاز)
توسط mansour (771 امتیاز)
توسط mansour (771 امتیاز)
توسط mansour (771 امتیاز)
توسط mansour (771 امتیاز)
توسط mansour (771 امتیاز)
توسط mansour (771 امتیاز)
این چرخ فلک که ما در او حیرانیم<br> فانوس خیال از او مثالی دانیم<br> خورشید چراغ دان و عالم فانوس<br> ما چون صوریم کاندرو حیرانیم
...