به محفل ریاضی ایرانیان خوش آمدید! لطفا برای استفاده از تمامی امکانات عضو شوید
0 امتیاز
513 بازدید
در دبیرستان توسط AliM?07 (43 امتیاز)

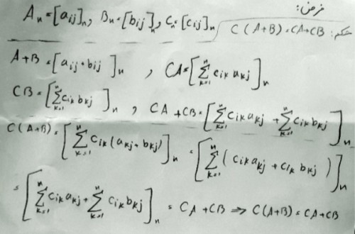
اگر A, B, C سه ماتریس باشند و عبارات (A×(C+B و A×C + A×B تعریف شده باشند ثابت کنید:

A×(B+C) = AB + AC

(توزیع پذیری)

1 پاسخ

0 امتیاز
توسط AliM?07 (43 امتیاز)
انتخاب شده توسط AliM?07
 
بهترین پاسخ

اگر A ،B ،C سه ماتریس باشند و عبارات AB)C) و (A(BC تعریف شده باشند ثابت کنید:(AB)C = A(BC)(خاصیت شرکت پذیری ضرب ماتریس ها(

برای ترجمه ی یک جمله از انگلیسی به فرانسوی دو چیز ضروری است. اول، باید جمله ی انگلیسی را تماما بفهمیم. دوم، باید با اصطلاحات ویژه ای که در زبان فرانسوی هستند آشنا باشیم. این وضعیت خیلی شبیه هنگامی است که سعی داریم شرط را که با کلمات بیان شده است با نمادهای ریاضی بیان کنیم. اول، باید آن را تمام درک کنیم. دوم، باید با اصطلاحات ریاضی ریاضی آشنا باشیم.
...