به محفل ریاضی ایرانیان خوش آمدید! لطفا برای استفاده از تمامی امکانات عضو شوید
0 امتیاز
289 بازدید
در دانشگاه توسط mansour (769 امتیاز)

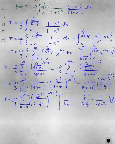
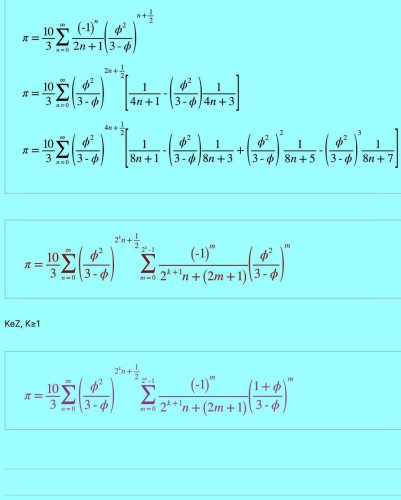
نشان دهید عدد پی در سری زیر صدق می‌کند: $$ \pi = \frac{10}{3} \sum _ {n=0} ^ \infty \frac{ (-1)^{n} }{2n+1} ( \frac{ \varphi ^{2} }{3- \varphi } )^{n+ \frac{1}{2} } $$

توسط قاسم شبرنگ (4,161 امتیاز)
حد جمله عمومی دنباله به مثبت بینهایت واگراست لذا سری همگرا نیست.
توسط mansour (769 امتیاز)
توسط mansour (769 امتیاز)

2 پاسخ

0 امتیاز
توسط

بیایید عبارت داده شده را تحلیل کنیم:

$$ \frac{10}{3} \sum_{n=0}^{\infty} \frac{(-1)^n}{2n+1} \left( \frac{\varphi^2}{3-\varphi} \right)^{n+\frac{1}{2}} $$

در اینجا، $\varphi$ نسبت طلایی است که با $\varphi = \frac{1+\sqrt{5}}{2}$ داده می‌شود.

می‌دانیم که $\varphi^2 = \varphi + 1$، بنابراین می‌توانیم بنویسیم:

$$ \frac{\varphi^2}{3-\varphi} = \frac{\varphi+1}{3-\varphi} $$

همچنین می‌دانیم که $\varphi^2 - \varphi - 1 = 0$، بنابراین $\varphi^2 = \varphi + 1$.

همچنین می‌توانیم بنویسیم $\varphi = \frac{1+\sqrt{5}}{2}$، بنابراین $3-\varphi = \frac{6-1-\sqrt{5}}{2} = \frac{5-\sqrt{5}}{2}$.

سپس،

$$ \frac{\varphi^2}{3-\varphi} = \frac{\varphi+1}{3-\varphi} = \frac{\frac{1+\sqrt{5}}{2}+1}{\frac{5-\sqrt{5}}{2}} = \frac{3+\sqrt{5}}{5-\sqrt{5}} = \frac{(3+\sqrt{5})(5+\sqrt{5})}{(5-\sqrt{5})(5+\sqrt{5})} = \frac{15+8\sqrt{5}+5}{25-5} = \frac{20+8\sqrt{5}}{20} = 1+\frac{2\sqrt{5}}{5} $$

فرض کنید $x = \sqrt{\frac{\varphi^2}{3-\varphi}}$. سپس عبارت داده شده به صورت زیر در می‌آید:

$$ \frac{10}{3} \sum_{n=0}^{\infty} \frac{(-1)^n}{2n+1} x^{2n+1} = \frac{10}{3} \sum_{n=0}^{\infty} \frac{(-1)^n}{2n+1} (x)^{2n+1} $$

ما این سری را به عنوان بسط تیلور برای $\arctan(x)$ می‌شناسیم:

$$ \arctan(x) = \sum_{n=0}^{\infty} \frac{(-1)^n}{2n+1} x^{2n+1} $$

بنابراین عبارت به صورت زیر در می‌آید:

$$ \frac{10}{3} \arctan(x) = \frac{10}{3} \arctan\left(\sqrt{\frac{\varphi^2}{3-\varphi}}\right) $$

ما داریم $\frac{\varphi^2}{3-\varphi} = \frac{\varphi+1}{3-\varphi} = \frac{\frac{3+\sqrt{5}}{2}}{\frac{5-\sqrt{5}}{2}} = \frac{3+\sqrt{5}}{5-\sqrt{5}} = \frac{(3+\sqrt{5})(5+\sqrt{5})}{20} = \frac{20+8\sqrt{5}}{20} = 1+\frac{2\sqrt{5}}{5} = 1+\frac{2}{\sqrt{5}} = \frac{5+2\sqrt{5}}{5}$

فرض کنید $x = \sqrt{\frac{\varphi^2}{3-\varphi}} = \sqrt{\frac{5+2\sqrt{5}}{5}}$.

ما داریم $\tan(\frac{3\pi}{10}) = \sqrt{\frac{5+2\sqrt{5}}{5}}$.

بنابراین، $x = \tan(\frac{3\pi}{10})$.

سپس، $\arctan(x) = \arctan(\tan(\frac{3\pi}{10})) = \frac{3\pi}{10}$.

بنابراین، عبارت به صورت زیر در می‌آید:

$$ \frac{10}{3} \arctan(x) = \frac{10}{3} \cdot \frac{3\pi}{10} = \pi $$

پاسخ نهایی $\boxed{\pi}$ است.

0 امتیاز
توسط kn2798 (9 امتیاز)

$$\sum _ {n=0} ^ \infty \frac{ (-1)^{n} }{2n+1} ( \frac{ \varphi ^{2} }{3- \varphi } )^{n+ \frac{1}{2} }$$ بشدت شبیه سری تیلور برای $\tan^{-1}(x)$ است که میشود: $$\tan^{-1}(x)=\sum _ {n=0} ^ \infty \frac{ (-1)^{n} }{2n+1} (x )^{2n+1}$$ حال اگر قرار دهیم $x=( \frac{ \varphi ^{2} }{3- \varphi } )^{\frac{1}{2}}$ داریم:

$$x=( \frac{ \varphi ^{2} }{3- \varphi } )^{\frac{1}{2}} = ( \frac{ 1+\varphi }{3- \varphi } )^{\frac{1}{2}} = \sqrt{\frac{1+\frac{1+\sqrt{5}}{2}}{3-\frac{1+\sqrt{5}}{2}}} = \sqrt{\frac{\frac{3+\sqrt{5}}{2}}{\frac{5-\sqrt{5}}{2}}} = \sqrt{\frac{3+\sqrt{5}}{5-\sqrt{5}}} = \sqrt{\frac{20+8\sqrt{5}}{20}} = \sqrt{1+\frac{2\sqrt{5}}{5}}$$ حال اگر قرار باشد که $\pi=\frac{10}{3}\tan^{-1}(x)$ برقرار باشد

پس باید $\tan^{-1}(x)=\frac{3\pi}{10}$ برقرار باشد

پس باید $\tan(\frac{3\pi}{10})=x=\sqrt{1+\frac{2\sqrt{5}}{5}}$ برقرار باشد

و ما میدانیم که $\tan(\frac{3\pi}{10})=\sqrt{1+\frac{2\sqrt{5}}{5}}$ (اثبات این نیز با در نظر گرفتن نیمساز یک پنج ضلعی منتظم ساده است)

پس تساوی $\pi = \frac{10}{3} \sum _ {n=0} ^ \infty \frac{ (-1)^{n} }{2n+1} ( \frac{ \varphi ^{2} }{3- \varphi } )^{n+ \frac{1}{2} }$ درست است.

برای ترجمه ی یک جمله از انگلیسی به فرانسوی دو چیز ضروری است. اول، باید جمله ی انگلیسی را تماما بفهمیم. دوم، باید با اصطلاحات ویژه ای که در زبان فرانسوی هستند آشنا باشیم. این وضعیت خیلی شبیه هنگامی است که سعی داریم شرط را که با کلمات بیان شده است با نمادهای ریاضی بیان کنیم. اول، باید آن را تمام درک کنیم. دوم، باید با اصطلاحات ریاضی ریاضی آشنا باشیم.
...