به محفل ریاضی ایرانیان خوش آمدید! لطفا برای استفاده از تمامی امکانات عضو شوید
0 امتیاز
3,284 بازدید
در دبیرستان توسط amirabbas (1,345 امتیاز)
ویرایش شده توسط amirabbas

سلام. می خواستم بدونم روشی برای رفع ابهام حد $\lim_{x \rightarrow \pi} \frac{sinx}{x-\pi}$ بدون استفاده از قاعده هوپیتال وجود داره یا نه. با استفاده از هوپیتال جواب -1 میشه اما از اونجایی که این تمرین یکی از سوالات کتاب درسیه و در کتاب درسی به قاعده هوپیتال اشاره نشده حتما باید روشی برای رفع ابهامش بدون استفاده از این قاعده وجود داشته باشه.ممنون میشم اگه راهنمایی کنید روشش چیه.

سوال دیگم اینه که مشکل استدلال زیر چیه؟ $$\lim_{x \rightarrow \pi} \frac{sinx}{x-\pi} = \lim_{x \rightarrow \pi} \frac{xsinx}{x(x-\pi)} = \lim_{x \rightarrow \pi} \frac{x}{x-\pi} = \infty $$

مرجع: کتاب حساب دیفرانسیل و انتگرال پیش دانشگاهی - فصل مشتق - صفحه ۱۴۹ - مسئله 3
توسط kazomano (2,561 امتیاز)
استدلالت اشتباهه چون اون وسط سینوس ایکس تقسیم بر ایکس رو غیب کردی
توسط amirabbas (1,345 امتیاز)
حق با شماست. اشتباهی فک کردم داخل سینوس به سمت صفر میره.

1 پاسخ

+1 امتیاز
توسط good4us (7,356 امتیاز)
انتخاب شده توسط amirabbas
 
بهترین پاسخ

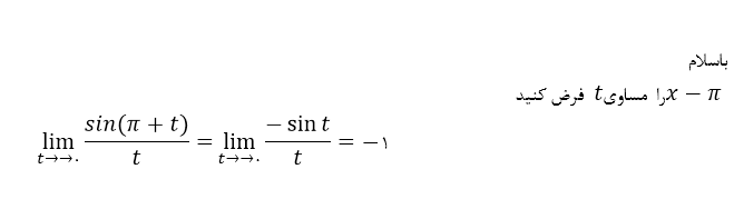
enter image description here

توسط amirabbas (1,345 امتیاز)
سلام ممنون. استدلالتون صحیحه. نمیدونید مشکل استدلالی که نوشتم کجاست؟
توسط good4us (7,356 امتیاز)
sinx به  x حدآن درهمسایگی پی صفر است چگونه آن را حذف می کنید؟این کار غلط است
توسط SMJ.Sherafat (1 امتیاز)
@amirabbas
توجه داشته باش که مرحله ی آخر محاسباتت اشتباهه چون تابعت در مرحله ی آخر حد نداره.اگه ایکست بره پی راست میشه مثبت بینهایت اگه بره پی چپ میشه منفی بینهایت،دلیلشم اینه سینوس ایکس ایکسم در اطراف نقطه ی پی اصلا برابر با یک نمیشه،این اتفاق فقط در نقطه ی صفر میوفته اونم چونکه ایکس هم ارز مرتبه اول سیونوسه و اصن نموداراشون توی پی،کلی از هم فاصله دارن.پس اتدلالت از اول اشتباهه.
برای ترجمه ی یک جمله از انگلیسی به فرانسوی دو چیز ضروری است. اول، باید جمله ی انگلیسی را تماما بفهمیم. دوم، باید با اصطلاحات ویژه ای که در زبان فرانسوی هستند آشنا باشیم. این وضعیت خیلی شبیه هنگامی است که سعی داریم شرط را که با کلمات بیان شده است با نمادهای ریاضی بیان کنیم. اول، باید آن را تمام درک کنیم. دوم، باید با اصطلاحات ریاضی ریاضی آشنا باشیم.
...