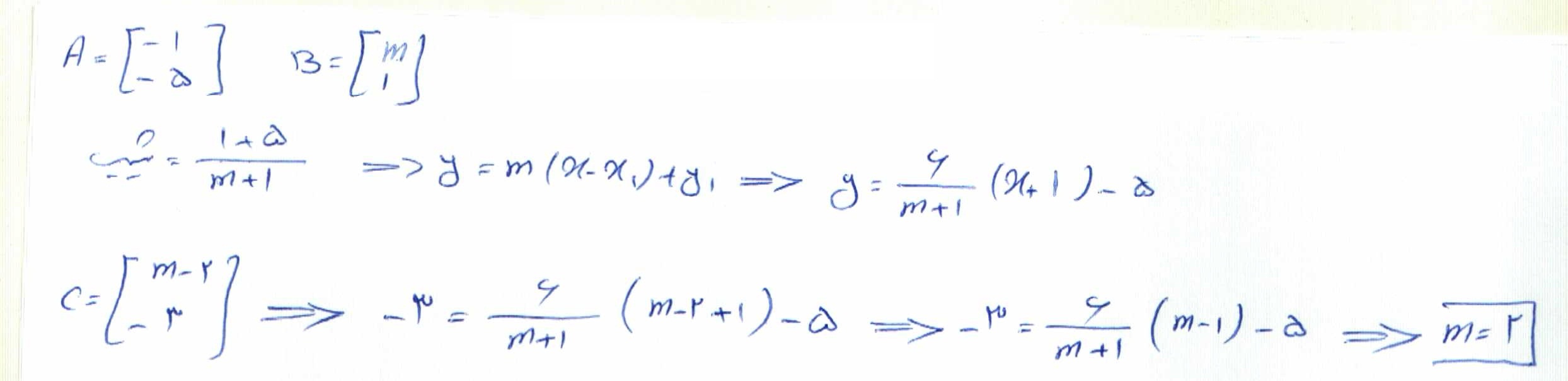
ابتدا معادله خطی که از دو نقطه $A$ و $B$ میگذرد را نوشته بعد نقطه $C$ را در آن جایگزین میکنیم.
$$A= \begin{bmatrix}-1 \\ -5 \end{bmatrix}\quad B= \begin{bmatrix}m \\ 1 \end{bmatrix} $$
شیب برابر است با
$$m=\frac{1+5}{m+1}\\
\Rightarrow
y=m(x-x_1)+y_1\\
\Rightarrow y=\frac{6}{m+1}(x+1)-5\\
C= \begin{bmatrix}m-2 \\ -3 \end{bmatrix}\Rightarrow -3=\frac{6}{m+1}(m-2+1)-5\\
\Rightarrow -3=\frac 6{m+1}(m-1)-5\\
\Rightarrow m=2 $$
