به محفل ریاضی ایرانیان خوش آمدید! لطفا برای استفاده از تمامی امکانات عضو شوید
+1 امتیاز
6,921 بازدید
در دبیرستان و دانشگاه توسط man258 (189 امتیاز)
دوباره دسته بندی کردن توسط man258

چرا مشتق تابع نمایی خود تابع رو نتیجه میدهد؟

توسط MSS (1,654 امتیاز)
+1
باید بسط تابع نمایی را بنویسید. سپس با فرمول کلی مشتق دوباره به همان می رسید

3 پاسخ

+3 امتیاز
توسط mdardah (1,636 امتیاز)
ویرایش شده توسط mdardah

اگر $f(x)=e^x $ باشد دراین صورت $f(x+h)=e^(x+h) $ خواهد بود. با استفاده از تعریف مشتق داریم

$ f' (x)= \lim_{h \rightarrow 0} \frac{f(x+h)-f(x)}{h} $ داریم

$ f' (x)= \lim_{h \rightarrow 0} \frac{e^(x+h)-e^x}{h} $ اگر از $e^x$ صورت کسر فاکتور بگیریم داریم

$ f' (x)= \lim_{h \rightarrow0} \frac{e^x (e^h-1)}{h} $ وچون برا ی مقدار e حد زیر را داریم

اگردو طرف به توان h برسانیم $ \ lim_{h \rightarrow 0} (1+h )^ \frac{1}{h} $=e دراین صورت $e^h$ مساوی 1+h خواهدشد اگر این مقدار را در مشتق بالا قرار دهیم$f' (x)= \lim_{h \rightarrow0} \frac{e^x (1+h-1)}{h}$ که مساوی$e^x$ خواهد شد.پایان

توسط man258 (189 امتیاز)
ویرایش شده توسط man258
بسیار عالی
خیلی ممنون از زحمتتان
+2 امتیاز
توسط User94 (96 امتیاز)
ویرایش شده توسط User94

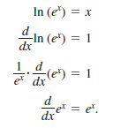
enter image description here

توسط man258 (189 امتیاز)
شما در این اثبات از lnx مشتق گرفته آید در حالیکه مشتق آن از مشتق تابع وارون آن یعنی همان تابع نمایی طبیعی نتیجه میشود
اینگونه نیست؟
در غیر اینصورت لطف کنید اثبات مشتق lnx را هم قرار دهید
توسط User94 (96 امتیاز)
مشتق تابع ln  را میتوان با استفاده از قضیه اساسی حساب دیفرانسیل و انتگرال بدست آورد. در این زمینه میتونید مثلا به کتاب توماس فصل توابع متعالی مراجعه کنید.
0 امتیاز
توسط mar1k_on1e (1 امتیاز)

سلام دوست عزیز.

فرمول کلی مشتق توابع نمایی بدین صورته:

Dx ( a^(u) ) = a^(u) * ln(a) * d/dx(u)1

که در اینجا، a عدد صحیح بزرگتر از 1، و u یک عبارت متغیر دار (مثلا x یا x+1 یا ...). بنابراین مشتق e^x طبق این فرمول میشه: (در فرمول بالا 1 رو در آخر خودم اضافه کردم که ظاهر فرمول در اینجا خراب نشه)

Dx ( e^(x) ) = e^(x) * ln(e) * d/dx(x) = e^x * 1 * 1 = e^x

برای اثبات این فرمول، بهتره به مراجعی مانند (فصل هفتم حسابان swokowski یا حسابان توماس و ...) مراجعه کنید. موفق باشید.

توسط AmirHosein (19,718 امتیاز)
+1
@mar1k_on1e
- برای تایپ عبارت‌های ریاضی به راهنمای تایپ ریاضی در سایت نگاه بیندازید.
https://math.irancircle.com/56/%D8%B1%D8%A7%D9%87%D9%86%D9%85%D8%A7%DB%8C-%DA%A9%D9%84%DB%8C-%D8%AA%D8%A7%DB%8C%D9%BE-%D8%B1%DB%8C%D8%A7%D8%B6%DB%8C?show=56#q56
- پرسشگر فرمول کلی و غیره نخواسته‌است یا اینکه از یک فرمول دیگر که خودش اثبات نیاز دارد نتیجه بگیرد.
این چرخ فلک که ما در او حیرانیم<br> فانوس خیال از او مثالی دانیم<br> خورشید چراغ دان و عالم فانوس<br> ما چون صوریم کاندرو حیرانیم
...