به محفل ریاضی ایرانیان خوش آمدید! لطفا برای استفاده از تمامی امکانات عضو شوید
+4 امتیاز
1,387 بازدید
در دبیرستان توسط Elyas1 (4,505 امتیاز)
ویرایش شده توسط AmirHosein

نشان دهید که اگر $n$ عددی طبیعی و زوج باشد، آنگاه باقیمانده تقسیم $2^n$ بر ۶ برابر با ۴ خواهد شد، یا به عبارتی دیگر $2^n=6k+4$.

4 پاسخ

+5 امتیاز
توسط good4us (7,356 امتیاز)
ویرایش شده توسط AmirHosein
 
بهترین پاسخ

گیریم $n=2t$ به ازای $t=1$ تساوی به صورت $ 2^2=6 \times 0+4 $ برقرار است

اگر فرض کنیم تساوی به ازای t درست باشد یعنی $ 2^{2t} =6k+4 $ اکنون حکم $ 2^{(2t+2)} =6k'+4 $ را ثابت می کنیم.

طرفین فرض را 4 ضرب می کنیم داریم $ 2^{(2t+2)} =6 \times (4k)+12+4 $ و

$ 2^{(2t+2)} =6(4k+2)+4 $ , $k'=4k+2$

+1 امتیاز
توسط Thepythn (61 امتیاز)

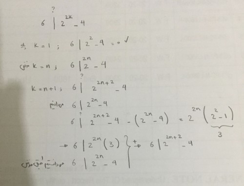
توضیحات تصویر

برای حل سوال هم میتوان از الگویابی در تشخیص باقی مانده توان های ۲ استفاده کرد هم استقرا به طوری که اثبات کنیم ۶ دو به توان ۲k منهای ۴ را عاد میکند بعد ثابت کنیم دو برابر ان منهای ۴ را هم عاد میکند:

توسط Elyas1 (4,505 امتیاز)
+1
برای اثبات استقرایی، استفاده از همنهشتی بسیار راحت تر است.
توسط Thepythn (61 امتیاز)
بله اون طوری هم امکان پذیره
توسط good4us (7,356 امتیاز)
+3
Thepythn@ باید پاسخ خودتان را تایپ ریاضی گنید. آموزش تایپ در سایت قرار داده شده است تلاش کنید.
توسط AmirHosein (19,733 امتیاز)
+2
@Thepythn از تصویر تنها برای قرار دادن شکل‌ها استفاده کنید. هر آنچه غیر از شکل است را تایپ کنید.
+1 امتیاز
توسط Elyas1 (4,505 امتیاز)
ویرایش شده توسط Elyas1

تشکر بسیار از اساتید @good4ue و @Thepythn .

واضح است که به ازای $n=2$ ( اولین عدد زوج طبیعی) حکم بر قرار است و حال فرض می کنیم که برای $n=2t$ نیز برقرار است و حال اثبات می کنیم که برای t+1 نیز برقرار است:

$2^{2t} \equiv 4 (mod6)$

و می دانیم که:

$2^2 \equiv 4 (mod6)$

باضرب این دو همنهشتی در هم خواهیم داشت:

$2^{2(t+1)} \equiv 16 (mod6)$

که می دانیم باقیمانده تقسیم 16 بر 6 چهار می باشد. پس حکم ثابت شد:

$2^{2t+2} \equiv 4 (mod6)$

+1 امتیاز
توسط UnknownUser (1,608 امتیاز)
ویرایش شده توسط UnknownUser

به نام خدا

با فرض طبیعی و زوج بودن $n$، باید ثابت کنیم که: $2^n\overset{6}{\equiv}4$. چون $n$ زوج است؛ پس می‌نویسیم: $n=2m$ (که $m$ عددی طبیعی است).

می‌دانیم که: $2^n\overset{2}{\equiv}0$ و همچنین $2^2\overset{3}{\equiv}1$. دو طرف رابطه را به توان $m$ می‌رسانیم. داریم: $2^{2m}\overset{3}{\equiv}1$. پس به نتایج زیر رسیدیم:

$$2^{n}\overset{2}{\equiv}0 \Rightarrow 2^{n}-2^{2}\overset{2}{\equiv}0 \Rightarrow 2^{n}\overset{2}{\equiv}4$$

$$2^{n}\overset{3}{\equiv}1 \Rightarrow 2^{n}\overset{3}{\equiv}4$$

در نهایت:

$$\left.\begin{array}{l} 2^{n}\overset{2}{\equiv}4\\ 2^{n}\overset{3}{\equiv}4 \end{array}\right\rbrace\Longrightarrow 2^{n}\overset{2\times 3}{\equiv}4 \Rightarrow 2^{n}\overset{6}{\equiv}4$$

پس حکم اثبات شد. $\blacksquare$

برای ترجمه ی یک جمله از انگلیسی به فرانسوی دو چیز ضروری است. اول، باید جمله ی انگلیسی را تماما بفهمیم. دوم، باید با اصطلاحات ویژه ای که در زبان فرانسوی هستند آشنا باشیم. این وضعیت خیلی شبیه هنگامی است که سعی داریم شرط را که با کلمات بیان شده است با نمادهای ریاضی بیان کنیم. اول، باید آن را تمام درک کنیم. دوم، باید با اصطلاحات ریاضی ریاضی آشنا باشیم.
...