به محفل ریاضی ایرانیان خوش آمدید! لطفا برای استفاده از تمامی امکانات عضو شوید
+2 امتیاز
2,281 بازدید
در دبیرستان توسط asal4567 (961 امتیاز)
ویرایش شده توسط fardina

اثبات نامساوی های زیر رو میخواستم؟

$$- \ \sqrt{a^2+b^2} \leq a\sin x \pm b\cos x \leq \sqrt{a^2+b^2} $$

$$ \frac{1}{2^n-1} \leq \sin^{2n} x+ \cos^{2n} x \leq 1$$

2 پاسخ

+2 امتیاز
توسط fardina (17,622 امتیاز)

ابتدا برای اثبات $|a\sin x+b\cos x|\leq \sqrt{a^2+b^2}$ فقط کافی است نامساوی زیر را به روش بازگشتی ثابت کنید: $$(a\sin x+b\cos x)^2\leq (a^2+b^2)(\sin ^2 x+\cos^2 x)$$

و در صورتی که به جای $b$ قرار دهید $-b$ داریم $$|a\sin x-b\cos x|\leq \sqrt{a^2+(-b)^2}=\sqrt{a^2+b^2}$$ .

در مورد نامساوی دوم نمیدونم چه سودی داره این نامساوی؟ یا شاید اشتباه نوشتین. ما همواره برای هر $x\in\mathbb R$ داریم $\sin^2x+\cos^2x=1$ لذا $\sin^2 n+\cos^2 n=1$ و لذا $\sin^2n+\cos^2n\leq 1$ و چون همیشه $\frac1{2^n-1}\leq 1=\sin^2n+\cos^2n$ لذا نامساوی دوم واضح است.

توسط asal4567 (961 امتیاز)
+1
@fardina
ممنون..
ببخشید نامساوی دوم اشتباه نوشتم ویرایشش کردم ممنون میشم اثباتش کنید
+2 امتیاز
توسط OXIDE (681 امتیاز)

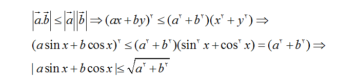
برای نامساوی اول از نامساوی کشی-شوارتس میرویم. enter image description here نامساوی دوم هم اشتباه نوشته شده ولی اثباتش (نامساوی اصلی نه این یکی) با استفاده از تعمیم نامساوی حسابی-مربعی انجام میشود.

توسط fardina (17,622 امتیاز)
ممنون جالب بود.اون موقع که من گفتم اشتباه نوشتن واقعا اشتباه نوشته بودن. الان صورت مساله درسته.
لطفا اینجا رو ببینید http://math.irancircle.com/3038/%D8%A7%D8%AB%D8%A8%D8%A7%D8%AA-%D9%86%D8%A7%D9%85%D8%B3%D8%A7%D9%88%DB%8C%24%24-frac-1-2-n-1-leq-sin-2n-x-cos-2n-x-leq-1%24%24
یکی از اولین و بهترین وظایف معلم این نیست که به شاگردانش این احساس را القا کند که مسائل ریاضی ارتباط کمی با یکدیگر دارند و اصلا هیچ ارتباطی با چیزی دیگ ندارند. هنگامی که دوباره به راه حل مساله نگاه می کنیم از موقعیتی طبیعی برای تحقیق در مورد ارتباط های بین یک مساله برخوردار می شویم.
...