به محفل ریاضی ایرانیان خوش آمدید! لطفا برای استفاده از تمامی امکانات عضو شوید
+1 امتیاز
213 بازدید
در دانشگاه توسط mansour (769 امتیاز)

نشان دهید:

$$ \int _0^ \frac{ \pi }{2} \frac{Arctan( 2cos^{2} \theta )}{ cos^{2} \theta }d \theta = \frac{ \pi }{ \sqrt{ \varphi } } $$

2 پاسخ

+1 امتیاز
توسط قاسم شبرنگ (4,161 امتیاز)
انتخاب شده توسط mansour
 
بهترین پاسخ

$I:= \int _0^{ \frac{ \pi }{2} } \frac{tan^{-1}(2cos^2 \theta )}{2cos^2 \theta }d \theta $

با تغییر متغیر $x=tan \theta $ داریم:

$dx=(1+tan^2 \theta )d \theta \Rightarrow dx= \frac{d \theta }{cos^2 \theta } $

$ \Rightarrow I= \int _0^ \infty tan^{-1}( \frac{2}{1+x^2})dx=xtan^{-1}( \frac{2}{1+x^2})]_0^ \infty +4 \int _0^ \infty \frac{x^2}{x^4+2x^2+5}dx$

$=0+4 \int _0^ \infty \frac{x^2}{x^4+2x^2+5}dx=4 \int _0^ \infty \frac{x^2}{x^4+2x^2+5}dx$

حالا با تغییر متغیرهای $x=5^{ \frac{1}{4} }u$ و $w= \frac{1}{u} $ نتیجه میگیریم که:

$2I=4 \times 5^{- \frac{1}{4} } \int _0^ \infty \frac{1+ \frac{1}{w^2} }{(w- \frac{1}{w} )^2+ \frac{2}{ \sqrt{5} } +2} dw$(چرا؟)

حالا تغییر متغیر $z=w- \frac{1}{w} $ را به کار ببرید:

$ \Rightarrow I= \frac{ \pi }{ \sqrt{ \varphi } } $(چرا؟)

$ \Box $

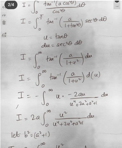
0 امتیاز
توسط قاسم شبرنگ (4,161 امتیاز)

ایده ای دیگر برای حل:

$ I(a)= \int _0^ \frac{ \pi }{2} \frac{tan^{-1}(acos^2 \theta )}{cos^2 \theta } d \theta $

حالا از خاصیت انتگرال وابسته به پارا متر استفاده کنید.

$ \Box $

توسط mansour (769 امتیاز)
توسط mansour (769 امتیاز)
توسط mansour (769 امتیاز)
برای ترجمه ی یک جمله از انگلیسی به فرانسوی دو چیز ضروری است. اول، باید جمله ی انگلیسی را تماما بفهمیم. دوم، باید با اصطلاحات ویژه ای که در زبان فرانسوی هستند آشنا باشیم. این وضعیت خیلی شبیه هنگامی است که سعی داریم شرط را که با کلمات بیان شده است با نمادهای ریاضی بیان کنیم. اول، باید آن را تمام درک کنیم. دوم، باید با اصطلاحات ریاضی ریاضی آشنا باشیم.
...