به محفل ریاضی ایرانیان خوش آمدید! لطفا برای استفاده از تمامی امکانات عضو شوید
+3 امتیاز
1,612 بازدید
در دانشگاه توسط fatemeh20 (175 امتیاز)
برچسب گذاری دوباره توسط fatemeh20

سلام. من در اثبات قضیه رادون نیکودیم به مشکل برخوردم.

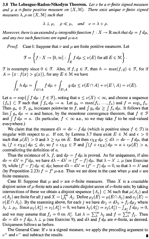
صورت قضیه در کتاب آنالیز حقیقی فولند: enter image description here

در حالت سوم که اندازه علامت $ \nu $ را به دو اندازه $ \nu^+ $ و $ \nu^- $ تجزیه کردیم برای $ \nu^+ $ و $ \mu $ یک $ \rho ^1$ و $ \lambda ^1 $ و $f^1$ یکتا یافت میشوند همچنین برای $ \nu^- $ و $ \mu $ ، $ \rho ^2$ و $ \lambda ^2 $ و $f^2$ را به طور یکتا پیدا میکنیم (با توجه به حالت دوم )

و در آخر برای $ \nu $ و $ \mu $ ، $ \lambda = \lambda ^1- \lambda ^2$ ، $ \rho = \rho ^1- \rho ^2$ و $f=f^1-f^2$ بدست میآید حال سوال من این است که $f$ باید انتگرال پذیر توسعه یافته نسبت به $ \mu $ باشد(یعنی حداکثر یکی از $ \int f^+d \mu , \int f^-d \mu $ بی نهایت باشند) چطور این اثبات میشود؟ با توجه به اینکه $f^1,f^2 $ میتوانند مثبت بی نهایت را اختیار کنند!

مرجع: کتاب آنالیز حقیقی-فولند- ویرایش دوم- فصل 3 - صفحه 90

1 پاسخ

+2 امتیاز
توسط fardina (17,622 امتیاز)
انتخاب شده توسط fatemeh20
 
بهترین پاسخ

چون $\nu$ یک اندازه علامتدار است پس حد اکثر می تواندفقط یکی از مقادیر $\infty$ یا $-\infty$ را اختیار کند. پس اگر به عنوان مثال $\nu$ نتواند $\infty$ را اختیار کند انگاه $\nu^+(X)< \infty$ و لذا بنابر حالت دوم در اثبات $\nu^+=\rho^1+\lambda^1$ و $\rho, \lambda$ هر دو اندازه مثبت هستند لذا این دو باید هر دو متناهی شوند. پس مشکلی که گفتید اتفاق نمیفته.

برای ترجمه ی یک جمله از انگلیسی به فرانسوی دو چیز ضروری است. اول، باید جمله ی انگلیسی را تماما بفهمیم. دوم، باید با اصطلاحات ویژه ای که در زبان فرانسوی هستند آشنا باشیم. این وضعیت خیلی شبیه هنگامی است که سعی داریم شرط را که با کلمات بیان شده است با نمادهای ریاضی بیان کنیم. اول، باید آن را تمام درک کنیم. دوم، باید با اصطلاحات ریاضی ریاضی آشنا باشیم.
...