سلام
در عکس پایین من اثبات قضیه حد ضرب دو تابع رو آوردم .

اصلا با اثبات قضیه کاری ندارم بحث من سر اپسیلون و دلتا است.
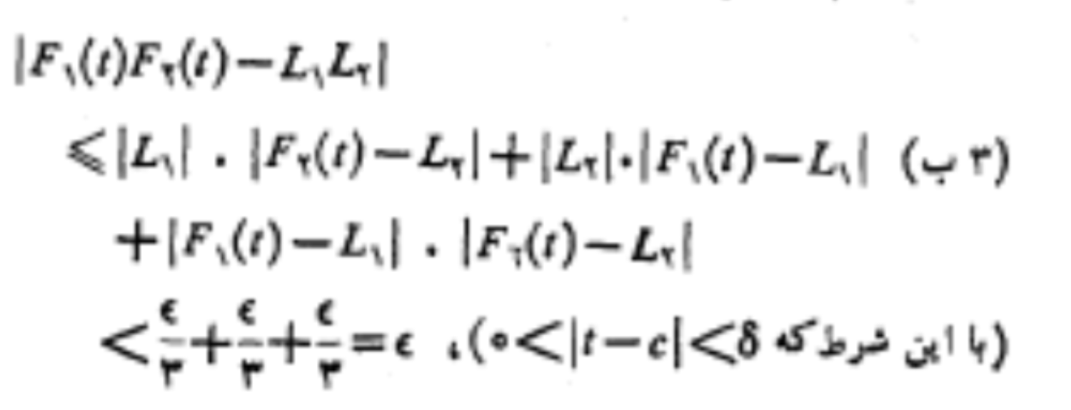
در قسمتی از این اثبات آمده است:

اگر بخواهیم این حد را روی نمودار نشان دهیم به شکل زیر است:

منظور من از آوردن این شکل این است که مقادیر f تمامی tهایی که در بازه c+ \delta وc- \delta قرار دارند تمامی فضای بین L+ \epsilon وL- \ epsilonرا پر می کنند.
در آخر این اثبات اپسیلون سوم رو +اپسیلون سوم+اپسیلون سوم کرده و به این رسیده.

ذهنیت من این است که اگر بخواهیم این حد را روی نمودار نشان دهیم به شکل زیر در می آید.

منظورم این است که مقادیر f تمامی tهایی که در بازه c+ \delta وc- \delta قرار دارند تمامی فضای بین L+ \epsilon وL- \epsilon را پر نمی کنند و قسمتی از بازهL+ \epsilon وL- \epsilon فاقد مقادیر f است.
دلیل من برای این ذهنیتم این است که اپسیلون سوم +اپسیلون سوم+اپسیلون سوم بزرگ تر است از اپسیلون سوم و علاوه بر آن \delta یی که در نا معادله دوم آمده کوچکتر است از \delta یی که در معادله اول آمده زیرا این دراثبات بیان شده است.
من اصلا با این کاری ندارم که می توانیم هر چقدر که می خواهیم \epsilon را کوچک بگیریم.
ذهنیت من این است که اگر در معادله اولی خود \delta را یک عدد فرضی در نظر بگیرم که می توانیم این کار را بکنیم و آن را به f بدهیم f هم به ما \epsilon را میدهد.
اما اگر همین کار را در معادله دوم انجام دهیم مقدار خروجی f درون بازه L+ \epsilonوL- \ epsilon قرار دارد.
می خواستم ببینم که آیا ذهنیت من درست است یا نه.
ممنون میشم راهنمایی کنید.