به محفل ریاضی ایرانیان خوش آمدید! لطفا برای استفاده از تمامی امکانات عضو شوید
+1 امتیاز
2,989 بازدید
در دبیرستان و دانشگاه توسط arashari44 (529 امتیاز)
ویرایش شده توسط saderi7

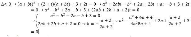
در معادله ی $x^2+(2+i)x+3+2i=0$ میدانیم که با توجه به اینکه ضرایب مختلط هستند ریشه ها هم مختلط هستند(دلتا هم که کوچک تر از صفره).اما هنگامی که شکل اعداد مختلط زا به جای x قرار میدهیم و به نحو زیر پیش میرویم به معادله درجه 4 ای میرسیم که حل شدنی نیست! enter image description here

مرجع: چندجمله ای از چندجمله ای ها انتشارات خوشخوان صفحه ی 7 مثال 8-1(حل ندارد)
توسط MSS (1,654 امتیاز)
چرا حل شدنی نیست؟
توسط arashari44 (529 امتیاز)
خب من این معادله رو اومدم هم مخرج کردم و به یک معادله درجه چهار رسیدم که با سطح علمی من غیر قابل حل است(یازدهم یا همون سوم دبیرستان سابق)
در حقیقت متن من سوالی بود که چجوری میشه این معادله رو حل کرد منتها الان که میخونم احساس میکنم یکم بد نوشتم.
ولی فکر میکنم روش دیگه برای حل معادله اصلی باشه.

1 پاسخ

+1 امتیاز
توسط MSS (1,654 امتیاز)
انتخاب شده توسط arashari44
 
بهترین پاسخ

با استفاده از روش دلتا میتوان معادله را حل کرد.

$ \bigtriangleup = (2+i)^{2} -4(3+2i)=3+4i-12-8i=-9-4i$

پس:

$x= \frac{-2-i \pm \sqrt{-9-4i} }{2} $
برای ترجمه ی یک جمله از انگلیسی به فرانسوی دو چیز ضروری است. اول، باید جمله ی انگلیسی را تماما بفهمیم. دوم، باید با اصطلاحات ویژه ای که در زبان فرانسوی هستند آشنا باشیم. این وضعیت خیلی شبیه هنگامی است که سعی داریم شرط را که با کلمات بیان شده است با نمادهای ریاضی بیان کنیم. اول، باید آن را تمام درک کنیم. دوم، باید با اصطلاحات ریاضی ریاضی آشنا باشیم.
...