به محفل ریاضی ایرانیان خوش آمدید! لطفا برای استفاده از تمامی امکانات عضو شوید
+4 امتیاز
1,793 بازدید
در دبیرستان و دانشگاه توسط ناصر آهنگرپور (2,222 امتیاز)
ویرایش شده توسط ناصر آهنگرپور

با درود به دوستان و اساتید گرامی. مطلوب است کلیه اعداد سه رقمی که مجموع مکعبات ارقام خودشان می‌باشند.

$ \overline{abc}=a^3+b^3+c^3$

مثال نمونه زیر را بصورت تجربی داریم. آیا میتوان نمونه دیگری یافت؟ اگر نه چگونه ثابت کنیم نمونه دیگری نداریم؟

$371=3^3+7^3+1^3$

2 پاسخ

+6 امتیاز
توسط AmirHosein (19,733 امتیاز)
ویرایش شده توسط AmirHosein
 
بهترین پاسخ

توجه کنید که فضای جستجوی‌تان یک فضای گستتهٔ متناهی است یعنی به دنبال اعضایی از یک مجموعهٔ متناهی، دقیقا $10^3=1000$ عضویِ $\lbrace (a,b,c)\in\mathbb{Z}^3\mid 0\leq a,b,c\leq 9\rbrace$ هستید که در یک برابریِ سادهٔ درجهٔ سهٔ $a^3+b^3+c^3=100a+10b+c$ صدق کنند. می‌توانید از بهینه‌سازیِ صحیح با یک تابعِ هدفِ مصنوعی و با شرط (قید) -ِ برابریِ یادشده استفاده کنید (که البته یک بهینه‌سازیِ ناخطی می‌شود). یا روش‌های ترکیبیاتی و غیرهٔ دیگر. در بدترین حالت می‌توانید از برنامه‌نویسیِ ساده و گذاشتن یک حلقه و یک شرط استفاده کنید چون بررسیِ هر ۱۰۰۰ عضو مجموعه برای این شرط بوسیلهٔ رایانه سخت نیست و سریع انجام می‌شود.

اما برای جالب‌تر شدن توجه کنید که می‌توانید پرسش را به دستگاه برابریِ چندجمله‌ایِ چندمتغیره تبدیل کنید و با پایه‌های گروبنر یا روش‌های زیاد دیگر از هندسهٔ جبریِ محاسباتی آن را حل کنید. پیش‌تر چند پرسش در همین سایت را به این شکل مدل و حل کردیم 1. یک برابری که همان شرطی است که در پاراگراف پیشین اشاره شد. ۳ برابریِ دیگر به شکل زیر می‌افزاییم که مقدارهای $a$ و $b$ و $c$ را به عددهای ۰ و ۱ تا ۹ محدود کند. به فرض $x$ یکی از این سه متغیر باشد، روشن است که برابریِ زیر دقیقا ۱۰ پاسخ حقیقی (و حتی مختلط) دارد که دقیقا ۰ و ۱ و ... و ۹ هستند.

$$x(x-1)(x-2)\cdots (x-9)$$

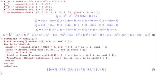
باید برایتان روشن باشد که مجموعهٔ پاسخ‌های حقیقی (و یا مختلط) -ِ برابریِ ۳ متغیره با ۴ برابریِ یادشده دقیقا برابر با مجموعهٔ سه‌تایی‌های صحیحی است که به دنبالشان هستند. یکی از روش‌های حلِ دقیق این دستگاه این است که پایهٔ گروبنر ایده‌آل تولیدشده بوسیلهٔ این ۴ چندجمله‌ای را با یک ترتیب تک‌جمله‌ای‌های حذف‌کننده، مانند ترتیب واژه‌نامه‌ایِ $a < b < c$، محاسبه کنید و سپس چندجمله‌ای‌های تک‌متغیره‌اش را با هر روش دلخواهی که یک چندجمله‌ای تک‌متغیره را حل می‌کنید، تجزیه، نیوتن-رافسون، دنبالهٔ استورم و دوبخشی‌کردن بازه، ... حل کنید، ریشه‌ها را جایگذاری و سپس چندجمله‌ای‌های دو متغیره را حل کنید که اکنون تک‌متغیره شده‌اند و همین‌طور ادامه دهید تا تمام متغیرها حل شوند. دستی انجام دادن این کار برای این پرسش سخت نیست ولی ممکن است کمی زمان‌بر باشد، بنابراین در زیر کُدی با زبان نرم‌افزار میپل نوشته‌ایم که این کار را خودکار برایمان انجام دهد (توجه کنید که این روش با حل تصادفی یا عددی یا امتحان‌کردن حالت‌ها یکی نیست و یک الگوریتم با ایدهٔ محاسباتی داریم).

f__0 := 100*a + 10*b + c - a^3 - b^3 - c^3;
f__1 := product( a-i, i = 0..9 );
f__2 := product( b-i, i = 0..9 );
f__3 := product( c-i, i = 0..9 );
G := Groebner:-Basis( [f__0, f__1, f__2, f__3], plex( a, b, c ) );
solutions := Array([]):
list1 := Array([ solve( G[1] = 0, c, real ) ]):
for ic in list1 do
 sols2 := [ solve( eval( [ G[2] = 0, G[3] = 0 ], c = ic ), b, real ) ]:
 list2 := Array([ seq( eval( b, sol ), sol in sols2 ) ]):
 for ib in list2 do
  list3 := Array([ solve( eval( G[4] = 0, [ c = ic, b = ib ] ), a, real ) ]):
  ArrayTools:-Extend( solutions, [ seq( [ia, ib, ic], ia in list3 ) ] ):
 end do:
end do:
solutions;

در زیر تصویری از خروجی این کد در محیط میپل را می‌بینید.

توضیحات تصویر

دست‌آورد پایانی این است که ۶ عدد (با احتساب عددهای ۱ و ۲ رقمی) با این ویژگی وجود دارند یعنی عددهای زیر.

$$0,\;1,\;153,\;370,\;371,\;407$$

می‌توانستید در مدل‌سازی شرط‌هایی بیفزائید که عددهای زیرِ سه رقم شامل نشوند. می‌توانید این را به عنوان تمرینی ساده در نظر بگیرید.


  1. برای نمونه پست‌های پاسخِ https://math.irancircle.com/19563#a19837 و https://math.irancircle.com/13010/#a13015 را ببینید. ↩︎

توسط ناصر آهنگرپور (2,222 امتیاز)
ویرایش شده توسط ناصر آهنگرپور
+1
@AmirHosein : بینهایت از زحمات بی شائبه تان سپاسگزارم. پاسخ کاملی است. بخصوص کدنویسی که میدانم کاری با تلاش فکری باارزش است. تنها نکته مبهم برایم این است که آیا با روشهای حساب استدلالی راه حل تحلیلی متفاوتی دارد یا نه؟ گویا این نوع اعداد بنام اعداد خودشیفته (narcissistic numbers) معروفند که نوع خاص آن بنام اعداد آرمسترانگ (Armstrong numbers) در این پست مطرح شد و روشهای تحلیلی خاصی دارند. در این مورد دوستان اگر راه حل یا مرجعی معرفی کنند بینهایت سپاسگزار خواهم بود.
توسط AmirHosein (19,733 امتیاز)
+2
@ناصرـآهنگرپور به صفحهٔ ویکی‌پدیا و مراجع نام‌برده‌شده‌اش نگاه کنید.
https://en.wikipedia.org/wiki/Narcissistic_number
توسط ناصر آهنگرپور (2,222 امتیاز)
+1
@AmirHosein : از همراهی خوب همیشگی تان ممنونم. 1+
+3 امتیاز
توسط حسن کفاش امیری (3,252 امتیاز)
ویرایش شده توسط حسن کفاش امیری

با رقم یکان عدد سه رقمی $ \overline{abc} $ کار را شروع می کنم و به سه دسته کلی تقسیمی کنم.

دسته اول آن اعداد که یکان آنها $c \in \{0,1,4,5,6,9\} $ در این صورت یکان $c^3 $ با یکان c برابر است پس در این دسته یکان $a^3 +b^3 =S $ باید صفر باشد.پنج حالت برای S داریم. . (بجزء a=b=0) $$\begin{align} 1) & a=1,b=9 \Rightarrow S=730\\ 2) & a=2,b=8 \Rightarrow S=520\\ 3 ) & a=3,b=7 \Rightarrow S=370\\ 4) & a=4,b=6\Rightarrow S=280\\ 5) & a=b=5\Rightarrow S=250 \end{align}$$

  • اگر c=0 آنگاه تنها حالت 3یعنی $S+c^3 =370 $ جواب است.

  • اگر c=1 آنگاه تنها حالت 3یعنی $S+c^3 =371 $

  • اگر c=2 یا4یا5یا6یا 9 باشد آنگاه عدد $S+c^3 $ عدد مناسبی نمی باشه بنابراین در این دسته اول فقط دو جواب 370 و 371 وجود دارد.

دسته دوم آن اعداد که یکان آنها $c \in \{2,7\}$

در این صورت یکان $S $ باید برابر 4 باشد. در نتیجه برای S چهار حالت زیر را داریم: $$\begin{align} 1)&a=0,b=4 \Rightarrow S=64\\ 2)&a=1,b=7 \Rightarrow S=344\\ 3)&a=2,b=6 \Rightarrow S=224\\ 4)&a=3,b=7 \Rightarrow S=374 \end{align}$$

  • اگر c=7 آنگاه تنها حالت 1یعنی $S+c^3 =64+343=407 $ جواب است.
  • اگر c=2 ، هیچ یک از چهار حالت جواب نیست.بنابراین در این دسته فقط عدد 407 می باشد

دسته سوم آن اعداد که یکان آنها $c \in \{3،8\} $ در این صورت یکان $S $ باید برابر 6 باشد. در نتیجه برای S پنج حالت زیر را داریم: $$\begin{align} 1)&a=0,b=6 \Rightarrow S=216\\ 2)&a=1,b=5 \Rightarrow S=126\\ 3)&a=2,b=2 \Rightarrow S=16\\ 4)&a=3,b=9 \Rightarrow S=756\\ 5)&a=4,b=8 \Rightarrow S=576 \end{align}$$

  • اگر c=3 آنگاه تنها حالت 2 یعنی $S+c^3 =126+3^3 =153 $ جواب است.
  • اگر c=8 ، هیچ یک از پنج حالت جواب نیست. بنابراین در این دسته فقط عدد153 می باشد.
توسط حسن کفاش امیری (3,252 امتیاز)
+2
منظورم این نبود، دسته دوم و سوم نگاه کنید مثلا یکان 153 با یکان مکعب 3 برابر نیست
توسط ناصر آهنگرپور (2,222 امتیاز)
ویرایش شده توسط ناصر آهنگرپور
+2
@amir7788 : اگر اشتباه نکنم حالت چهارم دسته اول باید $S=280$ باشد. روش کارتان کاملاً درست است. 1+
توسط حسن کفاش امیری (3,252 امتیاز)
ویرایش شده توسط حسن کفاش امیری
+2
درسته. 289 به 280 تصحیح کردم. ضمنا اشاره کنم بعضی موردها را می توان ساده تر نوشت ولی به خاطر تشابه روش ارائه نکردم. مثلا عدد سه رقمی با رقم یکان 9 با خاصیت سوال وجود ندارد چون در صورت وجود 9 بتوان 3 برابر 729 می باشه یعنی صدگان آن عدد حداقل 7می باشه در این صورت مجموع مکعب‌های یکان و صدگان از سه رقم بیشتر می شود و این تناقض است.
توسط ناصر آهنگرپور (2,222 امتیاز)
+1
@amir7788 :
روش تحلیلی خوبی بنظر میاد. فقط نمیدانم آیا در مورد اعداد خودشیفته چهار رقم به بالا مانند زیر هم میتوان از این روش استفاده کرد یا نه؟  بنظر میاد امکانش هست ولی کمی پیچیده تر میشه. 1+
$\overline{abcd}=a^4+b^4+c^4+d^4$
توسط حسن کفاش امیری (3,252 امتیاز)
+1
@ناصرآهنگرپور
به احتمال زیاد جواب می ده و لی مطمئنا پیجیده تر می شه
برای ترجمه ی یک جمله از انگلیسی به فرانسوی دو چیز ضروری است. اول، باید جمله ی انگلیسی را تماما بفهمیم. دوم، باید با اصطلاحات ویژه ای که در زبان فرانسوی هستند آشنا باشیم. این وضعیت خیلی شبیه هنگامی است که سعی داریم شرط را که با کلمات بیان شده است با نمادهای ریاضی بیان کنیم. اول، باید آن را تمام درک کنیم. دوم، باید با اصطلاحات ریاضی ریاضی آشنا باشیم.
...