به محفل ریاضی ایرانیان خوش آمدید! لطفا برای استفاده از تمامی امکانات عضو شوید
+1 امتیاز
696 بازدید
در دبیرستان توسط Mahdi876 (6 امتیاز)
ویرایش شده توسط AmirHosein

برابری (معادله) زیر را حل کنید. راه حلی به ذهنم نمی‌رسد.

$2^{\big(\log_4(x)\big)^3}+\sqrt{x}^{\big(\log_4(x)\big)^2}=16\sqrt[8]{8}$

مرجع: پایش سمپاد ۱۴۰۳ مرحله دوم، مقطع یازدهم
توسط AmirHosein (19,718 امتیاز)
@Mahdi876 «هیچ راه حلی به ذهنم نمی‌رسد» تلاش محسوب نمی‌شود. حداقل می‌توانستید هر تکه را جداگانه ساده‌تر کنید و بنویسید، نه؟ توان‌ها در داخل پایه و نمای لگاریتم چه می‌شوند؟ در زیر رادیکال و در فرجهٔ رادیکال چه می‌شوند؟
توسط Mahdi876 (6 امتیاز)
–1
بله کاملا درست میفرمایید. اما مشکل این هست که به نظرم ساده نمیشوند چون باید از بیرون به داخل توان ها را حساب کنیم.
مثل fogoh(x) که باید از h شروع کنیم
@AmirHosein
توسط Mahdi876 (6 امتیاز)
ویرایش شده توسط AmirHosein
–1
عکس پاسخنامه:![توضیحات تصویر][1]
  [1]: https://math.irancircle.com/?qa=blob&qa_blobid=14345576545558878499
اصلا معلوم نیست چطور نتیجه گرفته که :$2^{t^{3}} =8\sqrt[8]{8} $
اگر شما فهمیدید ممنون میشم توضیح بدید
توسط AmirHosein (19,718 امتیاز)
@Mahdi876 یعنی چه ساده‌تر نمی‌شود؟ تا به حال چیزی شبیه به $\log(x^2)$ ندیده‌اید؟ چنین چیزی برابر یا $2\log(x)$ نیست؟ و همینطور ساده‌سازی‌های دیگری که می‌توانید انجام دهید. اینکه به جواب آخر برسید یا خیر در وهلهٔ اول مهم نیست، اول این مهم است که چه تلاشی کردید حتی اگر به پاسخ نهایی نرسد.
چیزی که در قالب «پستِ پاسخ» ارسال کردید، را در واقع در ادامهٔ متن پرسش‌تان می‌بایست می‌نوشتید و نوشتنی‌ها را بنویسید، از عکس تنها برای شکل‌ها استفاده کنید.
توسط Mahdi876 (6 امتیاز)
نه ببینید توان روی کل لگاریتم هست نه روی x یعنی$log_4(x) ^{2}$ نه $log _4(x^{2})$
توسط AmirHosein (19,718 امتیاز)
@Mahdi876 در اینطورت بنویسید $(\log_4x)^2$ یا $\big(\log_4(x)\big)^2$.
توسط AmirHosein (19,718 امتیاز)
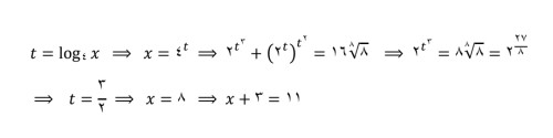
@Mahdi876 در راه‌حل داخل عکس گفته است که $\log_4x$ را $t$ بنامید. سپس $x$ را بر حسب متغیر جدید $t$ نوشته است که $4^t$ است و دلیلش خود تعریف لگاریتم است. سپس هر جا $x$ دارید $4^t$ و هر جا $\log_4x$ دارید $t$ بگذارید، معادله‌تان چه می‌شود؟ و توجه کنید که $4^t$ برابر با $2^{2t}$ است و جذرش $2^t$ است، نه؟ اکنون ادامه دهید، با یافتن $t$ مقدار $x$ را هم راحت یافته‌اید. مشکل دیگری در این راه‌حل دارید؟
توسط Mahdi876 (6 امتیاز)
–1
بله اما چطور مقدار t را پیدا کنیم؟
توسط AmirHosein (19,718 امتیاز)
@Mahdi876 مطمئن هستید دیدگاهی که نوشتم را متوجه شدید و محاسبات آمده در حلی که عکسش را پیوند گذاشته‌اید را قدم به قدم جلو رفتید؟
توسط Mahdi876 (6 امتیاز)
من نتیجه گیری آخر در پاسخ نامه را متوجه نمیشوم. چطور نتیجه گرفته که:  
$2^{t^{3}} =8\sqrt[8]{8}$
توسط amir7561 (1 امتیاز)
جواب میشه 8
توسط Mahdi876 (6 امتیاز)
@amir7561
بله اما چطور؟

1 پاسخ

0 امتیاز
توسط قاسم شبرنگ (4,151 امتیاز)
انتخاب شده توسط Mahdi876
 
بهترین پاسخ

قرار دهید:

$a:=Log^x_4 \Rightarrow x=4^a \Rightarrow \sqrt{x} =x^{ \frac{1}{2} }=((2^2)^a)^{ \frac{1}{2} }=2^a$

حالا با جایگذاری در معادله داریم:

$2^{a^3}+(2^a)^{a^2}=2^4 \times 2^{ \frac{3}{8} } \Rightarrow2^{a^3}+2^{a^3}=2^{ \frac{35}{8} } \Rightarrow 2 \times 2^{a^3}=2^{ \frac{35}{8} } \Rightarrow 2^{a^3}=2^{ \frac{27}{8} }$

$a^3= \frac{27}{8} \Rightarrow a= \frac{3}{2} \Rightarrow x=4^a=2^{2a}=2^{2 \times \frac{3}{2} }=2^3=8$

$ \Box $

بزرگترین ریاضیدانان، همچون ارشمیدس، نیوتن و گاوس، همواره نظریه و کاربردها را در اندازه ی یکسان در هم می آمیزند.
...