به محفل ریاضی ایرانیان خوش آمدید! لطفا برای استفاده از تمامی امکانات عضو شوید
0 امتیاز
159 بازدید
در دانشگاه توسط mansour (771 امتیاز)

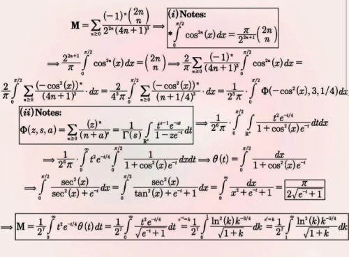
نشان دهید: $$ \sum _ {n=0} ^ \infty \frac{ (-1)^{n} }{ 2^{2n}. (4n+1)^{3} } \binom{2n}{n} = \frac{ \varpi }{4 \sqrt{2} }[C+ \frac{ \pi ^{2} }{8} ] \wedge \varpi = \frac{1}{2 \sqrt{2 \pi } } \Gamma ^{2}( \frac{1}{4} ) $$

توسط mansour (771 امتیاز)
توسط mansour (771 امتیاز)
ویرایش شده توسط mansour
این یک اتحاد بسیار پیشرفته است که شامل توابع ویژه و ضرایب دوجمله‌ای است. برای اثبات آن، معمولاً از نمایش انتگرالی ضرایب دوجمله‌ای و تکنیک‌های آنالیز مختلط یا نظریه اعداد استفاده می‌شود.

بیایید ابتدا نمادها را تعریف کنیم:
- $\binom{2n}{n}$ ضریب دوجمله‌ای مرکزی است.
- $\Gamma(z)$ تابع گاما است.
- $\varpi$ یک ثابت است که به نظر می‌رسد به ثابت لیمنیسکات مربوط باشد. مقدار آن به صورت زیر تعریف شده است:
$$ \varpi = \frac{1}{2\sqrt{2\pi}} \Gamma^2\left(\frac{1}{4}\right) $$
- $C$ به احتمال زیاد ثابت کاتالان است: $C = \sum_{n=0}^{\infty} \frac{(-1)^n}{(2n+1)^2}$.

مجموع مورد نظر:
$$ S = \sum_{n=0}^{\infty} \frac{(-1)^n}{2^{2n}(4n+1)^3} \binom{2n}{n} $$

هدف ما نشان دادن این است که $S = \frac{\varpi}{4\sqrt{2}} \left[ C + \frac{\pi^2}{8} \right]$.

گام اول: نمایش انتگرالی $\binom{2n}{n}$

یکی از نمایش‌های انتگرالی برای ضریب دوجمله‌ای مرکزی $\binom{2n}{n}$ این است:
$$ \binom{2n}{n} = \frac{1}{\pi} \int_{-1}^{1} (1-x^2)^n dx $$
یا
$$ \binom{2n}{n} = \frac{1}{\pi} \int_{0}^{\pi} (1-\sin^2 \theta)^n d\theta = \frac{1}{\pi} \int_{0}^{\pi} (\cos^2 \theta)^n d\theta = \frac{1}{\pi} \int_{0}^{\pi} \cos^{2n} \theta d\theta $$

با جایگذاری این در سری:
$$ S = \sum_{n=0}^{\infty} \frac{(-1)^n}{2^{2n}(4n+1)^3} \left( \frac{1}{\pi} \int_{0}^{\pi} \cos^{2n} \theta d\theta \right) $$
$$ S = \frac{1}{\pi} \int_{0}^{\pi} \sum_{n=0}^{\infty} \frac{(-1)^n}{4^n (4n+1)^3} \cos^{2n} \theta d\theta $$
$$ S = \frac{1}{\pi} \int_{0}^{\pi} \sum_{n=0}^{\infty} \frac{(-1)^n}{(4n+1)^3} \left(

 \frac{\cos^2 \theta}{4} \right)^n d\theta $$

گام دوم: معرفی تابع $\text{Ti}_3(x)$

تابع انتگرال تانژانت معکوس تعمیم‌یافته (generalized inverse tangent integral) به صورت زیر تعریف می‌شود:
$$ \text{Ti}k(x) = \int_0^x \frac{\arctan(t)}{t^{1-k}} dt $$
که برای $k=3$ داریم:
$$ \text{Ti}3(x) = \int_0^x \frac{\arctan(t)}{t^{-2}} dt = \int_0^x t^2 \arctan(t) dt $$
سری تیلور برای $\arctan(t)$ برابر است با:
$$ \arctan(t) = \sum_{n=0}^{\infty} \frac{(-1)^n t^{2n+1}}{2n+1} $$
بنابراین:
$$ \text{Ti}3(x) = \int_0^x t^2 \sum_{n=0}^{\infty} \frac{(-1)^n t^{2n+1}}{2n+1} dt = \int_0^x \sum_{n=0}^{\infty} \frac{(-1)^n t^{2n+3}}{2n+1} dt $$
$$ \text{Ti}3(x) = \sum_{n=0}^{\infty} \frac{(-1)^n}{2n+1} \int_0^x t^{2n+3} dt = \sum_{n=0}^{\infty} \frac{(-1)^n}{2n+1} \frac{x^{2n+4}}{2n+4} $$
$$ \text{Ti}3(x) = \sum_{n=0}^{\infty} \frac{(-1)^n x^{2n+4}}{(2n+1)(2n+4)} $$

این سری تا حدودی شبیه به سری موجود در انتگرال است. اما سری اصلی شامل $(4n+1)^3$ در مخرج است، نه $(2n+1)(2n+4)$.

یک رویکرد جایگزین با استفاده از $\text{Ti}_3(x)$:

یک نتیجه شناخته شده در مورد سری‌های مشابه این، که ممکن است به اثبات این اتحاد کمک کند، بیان می‌کند که:


 \sum_{n=0}^{\infty} \frac{(-1)^n \binom{2n}{n}}))$$

$${(4n+1)^3} = \frac{1}{2} \int_0^1 x^2 \arctanx

لطفا وارد شده یا عضو شوید تا بتوانید سوال بپرسید

این چرخ فلک که ما در او حیرانیم<br> فانوس خیال از او مثالی دانیم<br> خورشید چراغ دان و عالم فانوس<br> ما چون صوریم کاندرو حیرانیم
...