به محفل ریاضی ایرانیان خوش آمدید! لطفا برای استفاده از تمامی امکانات عضو شوید
+2 امتیاز
1,326 بازدید
در دانشگاه توسط Reza.S (862 امتیاز)
دوباره دسته بندی کردن توسط AmirHosein

چگونه می‌توانم انتگرال نامعین زیر را حل کنم و پاسخ آخر چه می‌باشد؟

$$\int\cos^{-0.5}(x){\rm d}x$$

ویرایشگر: پرسش‌گر توضیح بیشتری ننوشته‌است.

توسط
+1
یه نگاه به این کتاب بندازین Paul J. Nahin
Inside Interesting Integrals
صفحه 126 به بعد.
توسط
ویرایش شده توسط erfanm
+1
فکرمیکنم اینجوریه که سینوس و کسینوس با توان های گویا تابع اولیه نداره
توسط jafar (542 امتیاز)
+1
توان های گویا منظورت کسری باید باشه. درسته؟
توسط fardina (17,622 امتیاز)
+2
برحسب توابع مقدماتی، تابع اولیه موجود نیست.
ولی این انتگرال را می توان بر حسب یک انتگرال دیگر که به انتگرال بیضوی نوع اول معروف است تبدیل کنید. این چنین انتگرال هایی را معمولا با استفاده از برنامه هایی که وجود ددارند به دست می آوردند مثلا اینجا را ببینید: https://www.wolframalpha.com/input/?i=%5Cint+1%2F%28%5Csqrt%7B%5Ccos+x%7D%29
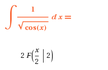
یعنی $\int\frac{1}{\sqrt{\cos x}}=2F(\frac x2|2)+C$ که $F(\phi , k)=\int_0^\phi\frac{d\theta}{\sqrt{1-k^2\sin ^2\theta}}$  . این انتگرال خودش باز تابع اولیه ندارد و ما فقط اسمش را انتگرال بیضوی نوع اول گذاشتیم به خاطر مهم بودن آن.
برای تعریف انتگرال بیضوی نوع اول اینجا را ببینید:
http://mathworld.wolfram.com/EllipticIntegraloftheFirstKind.html
توسط
+1
درسته.منظورم همینه.

1 پاسخ

+2 امتیاز
توسط OXIDE (681 امتیاز)

enter image description here

توسط AmirHosein (19,718 امتیاز)
@OXIDE پاسخ شما به این شکل بی‌معناست چون تابع $F$ و خط عمودیِ داخل ورودی‌هایش بدون تعریف یا اشاره معنایی نخواهند داشت. البته آقای @fardina در دیدگاهی در زیر پرسش این تابع را معرفی کرده‌اند. ولی شما نیز می‌بایست ضابطه را می‌آوردید یا اینکه ارجاع می‌دادید به منبعی که ضابطه را آورده‌باشد.
این چرخ فلک که ما در او حیرانیم<br> فانوس خیال از او مثالی دانیم<br> خورشید چراغ دان و عالم فانوس<br> ما چون صوریم کاندرو حیرانیم
...