به محفل ریاضی ایرانیان خوش آمدید! لطفا برای استفاده از تمامی امکانات عضو شوید
0 امتیاز
1,812 بازدید
در دبیرستان توسط rezaarghavani (8 امتیاز)
ویرایش شده توسط fardina

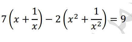
enter image description here

مرجع: ریاضی پایه دهم

1 پاسخ

0 امتیاز
توسط
ویرایش شده توسط fardina
$$7(x+1/x)-2((x+1/x )^2-2)=9$$

داریم $x+1/x=t$ بنابراین در معادله جایگذاری میکنیم $$7t-2(t^2-2)=9\\ -2t^2+7t-5=0\\ t=\frac{-7\pm\sqrt{7^2-4(-2)(-5)}}{(2(-2))}\\ t=5/2\\ t=1$$

اگر $x+1/x=1$ جواب حقیقی نداردو اگر $x+1/x=5/2$ داریم $x=2, x=1/2$

برای ترجمه ی یک جمله از انگلیسی به فرانسوی دو چیز ضروری است. اول، باید جمله ی انگلیسی را تماما بفهمیم. دوم، باید با اصطلاحات ویژه ای که در زبان فرانسوی هستند آشنا باشیم. این وضعیت خیلی شبیه هنگامی است که سعی داریم شرط را که با کلمات بیان شده است با نمادهای ریاضی بیان کنیم. اول، باید آن را تمام درک کنیم. دوم، باید با اصطلاحات ریاضی ریاضی آشنا باشیم.
...