به محفل ریاضی ایرانیان خوش آمدید! لطفا برای استفاده از تمامی امکانات عضو شوید
+3 امتیاز
381 بازدید
در دبیرستان و دانشگاه توسط parham (194 امتیاز)
ویرایش شده توسط fardina

انتگرال زير رو حل كنيد .تشكر!!

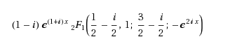
$$ \int \frac{\cos x.e^{x} }{ \cos^{2} x} dx$$

1 پاسخ

+1 امتیاز
توسط OXIDE (681 امتیاز)

enter image description here

برای ترجمه ی یک جمله از انگلیسی به فرانسوی دو چیز ضروری است. اول، باید جمله ی انگلیسی را تماما بفهمیم. دوم، باید با اصطلاحات ویژه ای که در زبان فرانسوی هستند آشنا باشیم. این وضعیت خیلی شبیه هنگامی است که سعی داریم شرط را که با کلمات بیان شده است با نمادهای ریاضی بیان کنیم. اول، باید آن را تمام درک کنیم. دوم، باید با اصطلاحات ریاضی ریاضی آشنا باشیم.
...